Suppr超能文献

中国内地一家三级教学医院 10 年数据:预测重症产科患者机械通气时间超过 24 小时

Prediction of mechanical ventilation greater than 24 hours in critically ill obstetric patients: ten years of data from a tertiary teaching hospital in mainland China.

机构信息

Department of Critical Care Medicine, Peking University People's Hospital, No. 11 Xizhimen South Street, Xicheng District, Beijing, 100044, China.

Department of Obstetrics, Peking University People's Hospital, No. 11 Xizhimen South Street, Xicheng District, Beijing, 100044, China.

出版信息

BMC Pregnancy Childbirth. 2021 Jan 9;21(1):40. doi: 10.1186/s12884-020-03524-4.

Abstract

BACKGROUND

Maternal admission to the intensive care unit (ICU) during pregnancy or in the postpartum period is a marker of severe acute maternal morbidity. Mechanical ventilation is an important and basic method of maintaining life support in the ICU, but prolonged mechanical ventilation (PMV) is associated with a prolonged length of hospital stay and other adverse outcomes. Therefore, we conducted this retrospective study to describe morbidity and further try to identify the risk factors for PMV in critically ill obstetric women.

METHODS

The clinical data were obtained from a single-centre retrospective comparative study of 143 critically ill obstetric patients at a tertiary teaching hospital in mainland China between January 1, 2009, and December 31, 2019. PMV was defined as a mechanical ventilation length of more than 24 h. Clinical and obstetric parameters were collected to analyse the risk factors for PMV. Patients were separated into groups with and without PMV. Potential risk factors were identified by univariate testing. Multivariate logistic regression was used to evaluate independent predictors of PMV.

RESULTS

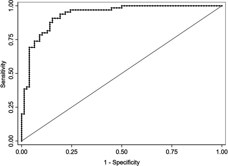
Out of 29,236 hospital deliveries, 265 critically ill obstetric patients entered the ICU. One hundred forty-five (54.7%) of them were treated with mechanical ventilation. Two were excluded because of death within 24 h. Sixty-five critically ill obstetric patients (45.5%) underwent PMV. The independent risk factors for PMV included estimated blood loss (odds ratio (OR) =1.296, P=0.029), acute kidney injury (AKI) (OR=4.305, P=0.013), myocardial injury (OR=4.586, P=0.012), and PaO/FiO (OR=0.989, P< 0.001). The area under the receiver operating characteristic (ROC) curve based on the predicted probability of the logistic regression was 0.934.

CONCLUSIONS

Estimated blood loss, AKI, myocardial injury, and PaO/FiO were independent risk factors for PMV in critically ill obstetric patients.

摘要

背景

孕产妇在妊娠期间或产后入住重症监护病房(ICU)是严重急性产妇发病率的标志。机械通气是 ICU 维持生命支持的重要基本方法,但长时间机械通气(PMV)与住院时间延长和其他不良结局相关。因此,我们进行了这项回顾性研究,以描述发病率,并进一步尝试确定危重症产科妇女 PMV 的危险因素。

方法

临床数据来自于中国大陆一家三级教学医院于 2009 年 1 月 1 日至 2019 年 12 月 31 日进行的一项单中心回顾性比较研究,共纳入 143 例危重症产科患者。将 PMV 定义为机械通气时间超过 24 小时。收集临床和产科参数,以分析 PMV 的危险因素。将患者分为有和无 PMV 两组。通过单因素检验确定潜在的危险因素。采用多因素逻辑回归评估 PMV 的独立预测因素。

结果

在 29236 例住院分娩中,有 265 例危重症产科患者进入 ICU。其中 145 例(54.7%)接受机械通气。有 2 例因 24 小时内死亡而被排除。65 例危重症产科患者(45.5%)行 PMV。PMV 的独立危险因素包括估计失血量(比值比(OR)=1.296,P=0.029)、急性肾损伤(AKI)(OR=4.305,P=0.013)、心肌损伤(OR=4.586,P=0.012)和 PaO/FiO(OR=0.989,P<0.001)。基于逻辑回归预测概率的受试者工作特征(ROC)曲线下面积为 0.934。

结论

估计失血量、AKI、心肌损伤和 PaO/FiO 是危重症产科患者 PMV 的独立危险因素。

https://cdn.ncbi.nlm.nih.gov/pmc/blobs/ef2f/7796589/f07f4dc47026/12884_2020_3524_Fig1_HTML.jpg

文献AI研究员

20分钟写一篇综述,助力文献阅读效率提升50倍。

立即体验

用中文搜PubMed

大模型驱动的PubMed中文搜索引擎

马上搜索

文档翻译

学术文献翻译模型,支持多种主流文档格式。

立即体验