Suppr超能文献

认知正常的老年痴呆症高危人群的血浆神经胶质纤维酸性蛋白升高。

Plasma glial fibrillary acidic protein is elevated in cognitively normal older adults at risk of Alzheimer's disease.

机构信息

Department of Biomedical Sciences, Macquarie University, North Ryde, NSW, Australia.

School of Medical and Health Sciences, Edith Cowan University, Joondalup, WA, Australia.

出版信息

Transl Psychiatry. 2021 Jan 11;11(1):27. doi: 10.1038/s41398-020-01137-1.

Abstract

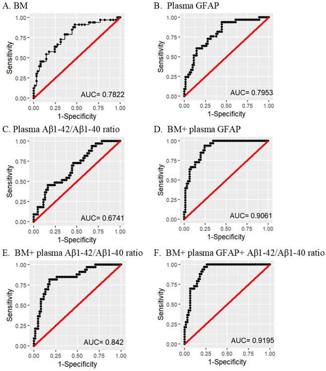
Glial fibrillary acidic protein (GFAP), an astrocytic cytoskeletal protein, can be measured in blood samples, and has been associated with Alzheimer's disease (AD). However, plasma GFAP has not been investigated in cognitively normal older adults at risk of AD, based on brain amyloid-β (Aβ) load. Cross-sectional analyses were carried out for plasma GFAP and plasma Aβ1-42/Aβ1-40 ratio, a blood-based marker associated with brain Aβ load, in participants (65-90 years) categorised into low (Aβ-, n = 63) and high (Aβ+, n = 33) brain Aβ load groups via Aβ positron emission tomography. Plasma GFAP, Aβ1-42, and Aβ1-40 were measured using the Single molecule array (Simoa) platform. Plasma GFAP levels were significantly higher (p < 0.00001), and plasma Aβ1-42/Aβ1-40 ratios were significantly lower (p < 0.005), in Aβ+ participants compared to Aβ- participants, adjusted for covariates age, sex, and apolipoprotein E-ε4 carriage. A receiver operating characteristic curve based on a logistic regression of the same covariates, the base model, distinguished Aβ+ from Aβ- (area under the curve, AUC = 0.78), but was outperformed when plasma GFAP was added to the base model (AUC = 0.91) and further improved with plasma Aβ1-42/Aβ1-40 ratio (AUC = 0.92). The current findings demonstrate that plasma GFAP levels are elevated in cognitively normal older adults at risk of AD. These observations suggest that astrocytic damage or activation begins from the pre-symptomatic stage of AD and is associated with brain Aβ load. Observations from the present study highlight the potential of plasma GFAP to contribute to a diagnostic blood biomarker panel (along with plasma Aβ1-42/Aβ1-40 ratios) for cognitively normal older adults at risk of AD.

摘要

胶质纤维酸性蛋白(GFAP)是一种星形细胞细胞骨架蛋白,可以在血液样本中测量,并且与阿尔茨海默病(AD)有关。然而,基于脑内淀粉样蛋白-β(Aβ)负荷,尚未在有 AD 风险的认知正常的老年人中研究过血浆 GFAP。对通过 Aβ正电子发射断层扫描(PET)分为低(Aβ-,n=63)和高(Aβ+,n=33)脑 Aβ负荷组的参与者(65-90 岁)进行了血浆 GFAP 和血浆 Aβ1-42/Aβ1-40 比值的横断面分析,该比值是与脑 Aβ负荷相关的血液标志物。使用单分子阵列(Simoa)平台测量了血浆 GFAP、Aβ1-42 和 Aβ1-40。与 Aβ-参与者相比,Aβ+参与者的血浆 GFAP 水平明显更高(p<0.00001),血浆 Aβ1-42/Aβ1-40 比值明显更低(p<0.005),调整协变量年龄、性别和载脂蛋白 E-ε4 携带后。基于相同协变量的逻辑回归的受试者工作特征曲线(ROC),基础模型区分了 Aβ+和 Aβ-(曲线下面积 AUC=0.78),但当将血浆 GFAP 添加到基础模型时,性能更好(AUC=0.91),并且随着血浆 Aβ1-42/Aβ1-40 比值的增加而进一步提高(AUC=0.92)。目前的研究结果表明,在有 AD 风险的认知正常的老年人中,血浆 GFAP 水平升高。这些观察结果表明,星形胶质细胞损伤或激活从 AD 的无症状前阶段开始,并与脑 Aβ负荷相关。本研究的观察结果强调了血浆 GFAP 作为认知正常的 AD 高危老年人的潜在诊断性血液生物标志物的潜力(与血浆 Aβ1-42/Aβ1-40 比值一起)。

https://cdn.ncbi.nlm.nih.gov/pmc/blobs/a689/7801513/4ed1d3290cab/41398_2020_1137_Fig1_HTML.jpg

文献AI研究员

20分钟写一篇综述,助力文献阅读效率提升50倍。

立即体验

用中文搜PubMed

大模型驱动的PubMed中文搜索引擎

马上搜索

文档翻译

学术文献翻译模型,支持多种主流文档格式。

立即体验