Suppr超能文献

基于惯性传感器的姿势任务中人体质心位置估计方法的精度评估。

Estimation of Human Center of Mass Position through the Inertial Sensors-Based Methods in Postural Tasks: An Accuracy Evaluation.

机构信息

IRCCS Fondazione Don Carlo Gnocchi ONLUS, 50143 Florence, Italy.

Department of Mechanical and Aerospace Engineering, Sapienza University of Rome, 00185 Roma, Italy.

出版信息

Sensors (Basel). 2021 Jan 16;21(2):601. doi: 10.3390/s21020601.

Abstract

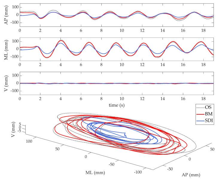
The estimation of the body's center of mass (CoM) trajectory is typically obtained using force platforms, or optoelectronic systems (OS), bounding the assessment inside a laboratory setting. The use of magneto-inertial measurement units (MIMUs) allows for more ecological evaluations, and previous studies proposed methods based on either a single sensor or a sensors' network. In this study, we compared the accuracy of two methods based on MIMUs. Body CoM was estimated during six postural tasks performed by 15 healthy subjects, using data collected by a single sensor on the pelvis (Strapdown Integration Method, SDI), and seven sensors on the pelvis and lower limbs (Biomechanical Model, BM). The accuracy of the two methods was compared in terms of RMSE and estimation of posturographic parameters, using an OS as reference. The RMSE of the SDI was lower in tasks with little or no oscillations, while the BM outperformed in tasks with greater CoM displacement. Moreover, higher correlation coefficients were obtained between the posturographic parameters obtained with the BM and the OS. Our findings showed that the estimation of CoM displacement based on MIMU was reasonably accurate, and the use of the inertial sensors network methods should be preferred to estimate the kinematic parameters.

摘要

人体质心(CoM)轨迹的估计通常是使用力平台或光学电子系统(OS)来实现的,这些方法将评估限制在实验室环境中。使用磁惯性测量单元(MIMU)可以进行更符合生态的评估,先前的研究提出了基于单个传感器或传感器网络的方法。在这项研究中,我们比较了两种基于 MIMU 的方法的准确性。通过使用单个传感器(Strapdown Integration Method,SDI)在骨盆上收集数据,以及在骨盆和下肢上使用七个传感器(Biomechanical Model,BM),对 15 名健康受试者进行的六项姿势任务中的身体 CoM 进行了估计。使用 OS 作为参考,比较了两种方法在 RMSE 和姿势参数估计方面的准确性。在振荡较小或没有振荡的任务中,SDI 的 RMSE 较低,而在 CoM 位移较大的任务中,BM 表现更好。此外,BM 与 OS 获得的姿势参数之间的相关系数更高。我们的研究结果表明,基于 MIMU 的 CoM 位移估计具有相当的准确性,并且应该优先使用惯性传感器网络方法来估计运动学参数。

https://cdn.ncbi.nlm.nih.gov/pmc/blobs/c637/7830449/d20f41dbeceb/sensors-21-00601-g001.jpg

文献AI研究员

20分钟写一篇综述,助力文献阅读效率提升50倍。

立即体验

用中文搜PubMed

大模型驱动的PubMed中文搜索引擎

马上搜索

文档翻译

学术文献翻译模型,支持多种主流文档格式。

立即体验