Suppr超能文献

炎症和调节性 T 细胞基因在帕金森病患者外周血单个核细胞中差异表达。

Inflammation and regulatory T cell genes are differentially expressed in peripheral blood mononuclear cells of Parkinson's disease patients.

机构信息

Department of Neuroscience, Aziz Sancar Institute of Experimental Medicine, Istanbul University, Istanbul, Turkey.

Department of Molecular Medicine, Aziz Sancar Institute of Experimental Medicine, Istanbul University, Istanbul, Turkey.

出版信息

Sci Rep. 2021 Jan 27;11(1):2316. doi: 10.1038/s41598-021-81961-7.

Abstract

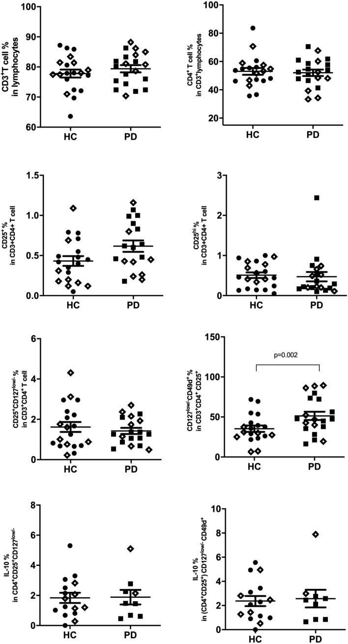
Our aim was to identify the differentially expressed genes (DEGs) in peripheral blood mononuclear cells (PBMC) of Parkinson's disease (PD) patients and healthy controls by microarray technology and analysis of related molecular pathways by functional annotation. Thirty PD patients and 30 controls were enrolled. Agilent Human 8X60 K Oligo Microarray was used for gene level expression identification. Gene ontology and pathway enrichment analyses were used for functional annotation of DEGs. Protein-protein interaction analyses were performed with STRING. Expression levels of randomly selected DEGs were quantified by real time quantitative polymerase chain reaction (RT-PCR) for validation. Flow cytometry was done to determine frequency of regulatory T cells (Tregs) in PBMC. A total of 361 DEGs (143 upregulated and 218 downregulated) were identified after GeneSpring analysis. DEGs were involved in 28 biological processes, 12 cellular components and 26 molecular functions. Pathway analyses demonstrated that upregulated genes mainly enriched in p53 (CASP3, TSC2, ATR, MDM4, CCNG1) and PI3K/Akt (IL2RA, IL4R, TSC2, VEGFA, PKN2, PIK3CA, ITGA4, BCL2L11) signaling pathways. TP53 and PIK3CA were identified as most significant hub proteins. Expression profiles obtained by RT-PCR were consistent with microarray findings. PD patients showed increased proportions of CD49d Tregs, which correlated with disability scores. Survival pathway genes were upregulated putatively to compensate neuronal degeneration. Bioinformatics analysis showed an association between survival and inflammation genes. Increased CD49d Treg ratios might signify the effort of the immune system to suppress ongoing neuroinflammation.

摘要

我们的目的是通过微阵列技术和相关分子途径的功能注释分析,鉴定帕金森病(PD)患者和健康对照者外周血单个核细胞(PBMC)中的差异表达基因(DEG)。共纳入 30 例 PD 患者和 30 例对照者。采用 Agilent Human 8X60K Oligo Microarray 进行基因水平表达鉴定。使用基因本体论和途径富集分析对 DEG 进行功能注释。使用 STRING 进行蛋白质-蛋白质相互作用分析。通过实时定量聚合酶链反应(RT-PCR)定量随机选择的 DEG 的表达水平进行验证。通过流式细胞术测定 PBMC 中调节性 T 细胞(Treg)的频率。经 GeneSpring 分析后,共鉴定出 361 个 DEG(143 个上调,218 个下调)。DEG 参与了 28 个生物过程、12 个细胞成分和 26 个分子功能。途径分析表明,上调基因主要富集于 p53(CASP3、TSC2、ATR、MDM4、CCNG1)和 PI3K/Akt(IL2RA、IL4R、TSC2、VEGFA、PKN2、PIK3CA、ITGA4、BCL2L11)信号通路。TP53 和 PIK3CA 被鉴定为最重要的枢纽蛋白。RT-PCR 获得的表达谱与微阵列结果一致。PD 患者显示 CD49d Treg 比例增加,与残疾评分相关。生存途径基因上调,可能是为了代偿神经元变性。生物信息学分析显示生存和炎症基因之间存在关联。增加的 CD49d Treg 比值可能表明免疫系统努力抑制持续的神经炎症。

https://cdn.ncbi.nlm.nih.gov/pmc/blobs/389c/7841172/070cdb8ae12f/41598_2021_81961_Fig1_HTML.jpg

文献AI研究员

20分钟写一篇综述,助力文献阅读效率提升50倍。

立即体验

用中文搜PubMed

大模型驱动的PubMed中文搜索引擎

马上搜索

文档翻译

学术文献翻译模型,支持多种主流文档格式。

立即体验