Suppr超能文献

培养基类型决定培养的视网膜内皮细胞的特性:标准杜氏改良 Eagle 培养基诱导显著的表型转化

Type of culture medium determines properties of cultivated retinal endothelial cells: induction of substantial phenotypic conversion by standard DMEM.

作者信息

Busch Catharina, Rehak Matus, Hollborn Margrit, Wiedemann Peter, Lang Gerhard K, Lang Gabriele E, Wolf Armin, Deissler Heidrun L

机构信息

Department of Ophthalmology, University Hospital Leipzig, Leipzig, Germany.

Department of Ophthalmology, University of Ulm Hospital, Ulm, Germany.

出版信息

Heliyon. 2021 Jan 21;7(1):e06037. doi: 10.1016/j.heliyon.2021.e06037. eCollection 2021 Jan.

Abstract

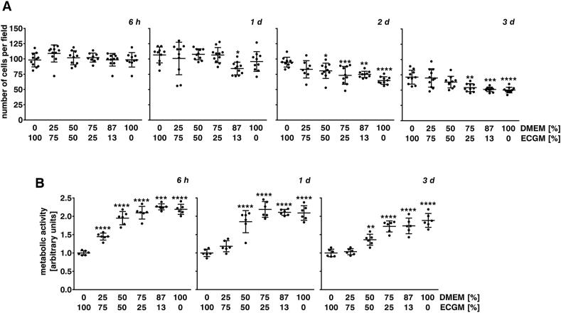
Contradictory behavior of microvascular retinal endothelial cells (REC) - a reliable in vitro model to study retinal diseases - have recently been reported which might result from cultivating the cells in standard DMEM not optimized for this cell type. Therefore, we studied DMEM's effects on phenotype and behavior of immortalized bovine REC. Cells were cultivated in endothelial cell growth medium (ECGM) until a confluent monolayer was reached and then further kept for 1-4 days in ECGM, DMEM, or mixes thereof all supplemented with 5% fetal bovine serum, endothelial cell growth supplement, 90 μg/ml heparin, and 100 nM hydrocortisone. Within hours of cultivation in DMEM, the cell index - measured to assess the cell layer's barrier function - dropped to ~5% of the initial value and only slowly recovered, not only accompanied by stronger expression of HSP70 mRNA and secretion of interleukin-6, but also by lower expressions of tight junction proteins claudin-5, claudin-1 or of the marker of cell type conversion caveolin-1. Altered subcellular localizations of EC-typic claudin-5, vascular endothelial cadherin and von Willebrand factor were also observed. Taken together, all experiments with (retinal) EC cultivated in common DMEM need to be interpreted very cautiously and should at least include phenotypic validation.

摘要

视网膜微血管内皮细胞(REC)是研究视网膜疾病的可靠体外模型,最近有报道称其行为相互矛盾,这可能是由于在未针对该细胞类型优化的标准DMEM中培养细胞所致。因此,我们研究了DMEM对永生化牛REC表型和行为的影响。细胞在内皮细胞生长培养基(ECGM)中培养,直到形成汇合单层,然后在ECGM、DMEM或其混合物中再培养1 - 4天,所有培养基均添加5%胎牛血清、内皮细胞生长补充剂、90μg/ml肝素和100 nM氢化可的松。在DMEM中培养数小时内,用于评估细胞层屏障功能的细胞指数降至初始值的约5%,且仅缓慢恢复,不仅伴随着HSP70 mRNA表达增强和白细胞介素-6分泌增加,还伴随着紧密连接蛋白claudin-5、claudin-1或细胞类型转化标志物小窝蛋白-1的表达降低。还观察到EC特异性claudin-5、血管内皮钙黏蛋白和血管性血友病因子的亚细胞定位改变。综上所述,所有在普通DMEM中培养(视网膜)内皮细胞的实验都需要非常谨慎地解释,并且至少应包括表型验证。

https://cdn.ncbi.nlm.nih.gov/pmc/blobs/2262/7820930/73f8b451c04c/gr1.jpg

文献AI研究员

20分钟写一篇综述,助力文献阅读效率提升50倍。

立即体验

用中文搜PubMed

大模型驱动的PubMed中文搜索引擎

马上搜索

文档翻译

学术文献翻译模型,支持多种主流文档格式。

立即体验