Suppr超能文献

术前血清亮氨酸氨肽酶在接受肝移植的肝细胞癌患者中的预后价值

Prognostic Value of Preoperative Serum Leucine Aminopeptidases in Hepatocellular Carcinoma Patients Who Underwent Liver Transplantation.

作者信息

Ren Qingqi, Fu Shunjun, Wang Dongping, Ju Weiqiang, He Xiaoshun

机构信息

Department of Hepatobiliary and Pancreatic Surgery, Peking University Shenzhen Hospital, Shenzhen, People's Republic of China.

Department of Hepatobiliary Surgery, Zhujiang Hospital, Southern Medical University, Guangzhou, People's Republic of China.

出版信息

Cancer Manag Res. 2021 Feb 5;13:1053-1066. doi: 10.2147/CMAR.S292128. eCollection 2021.

Abstract

BACKGROUND

Leucine aminopeptidases (LAPs) have been reported to be involved in tumor cell proliferation, invasion and angiogenesis. However, the relationship between serum leucine aminopeptidases and prognosis of hepatocellular carcinoma (HCC) patients who underwent liver transplantation (LT) was not yet reported. We aimed to evaluate the prognostic value of preoperative serum leucine aminopeptidases in these patients.

METHODS

Clinical data of 106 HCC patients who underwent LT were retrospectively analyzed. The sex ratio, age, HBV infection, Child-Pugh stage, preoperative tumor therapy, AFP, the largest tumor size, tumor number, Edmondson grading, macro- and micro-vascular invasion of patients with different serum LAP level and compositions of patients who met the criteria of Milan, UCSF or Hangzhou were compared using the chi-square test. The Kaplan-Meier method was performed in survival analysis and the log rank test was used in survival comparison.

RESULTS

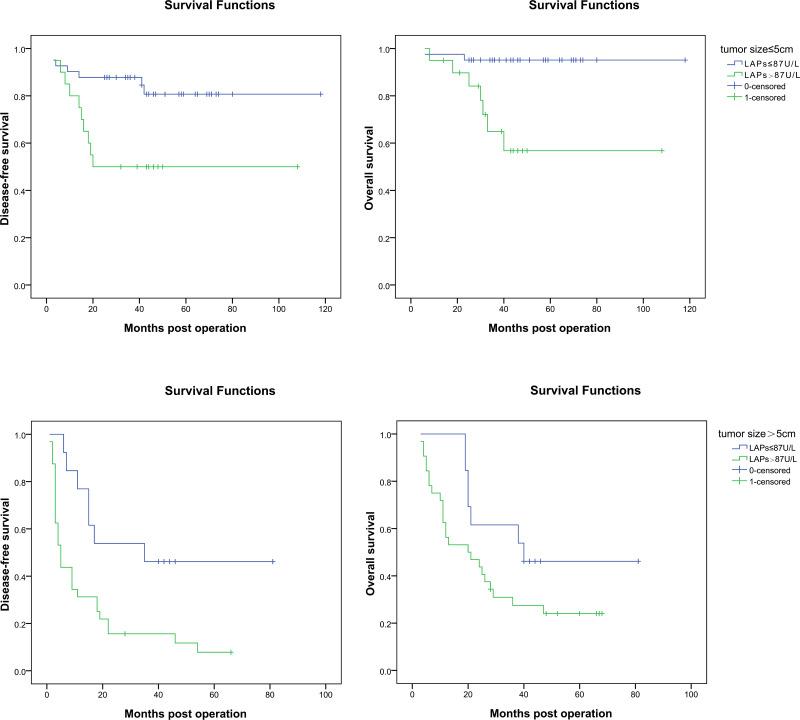
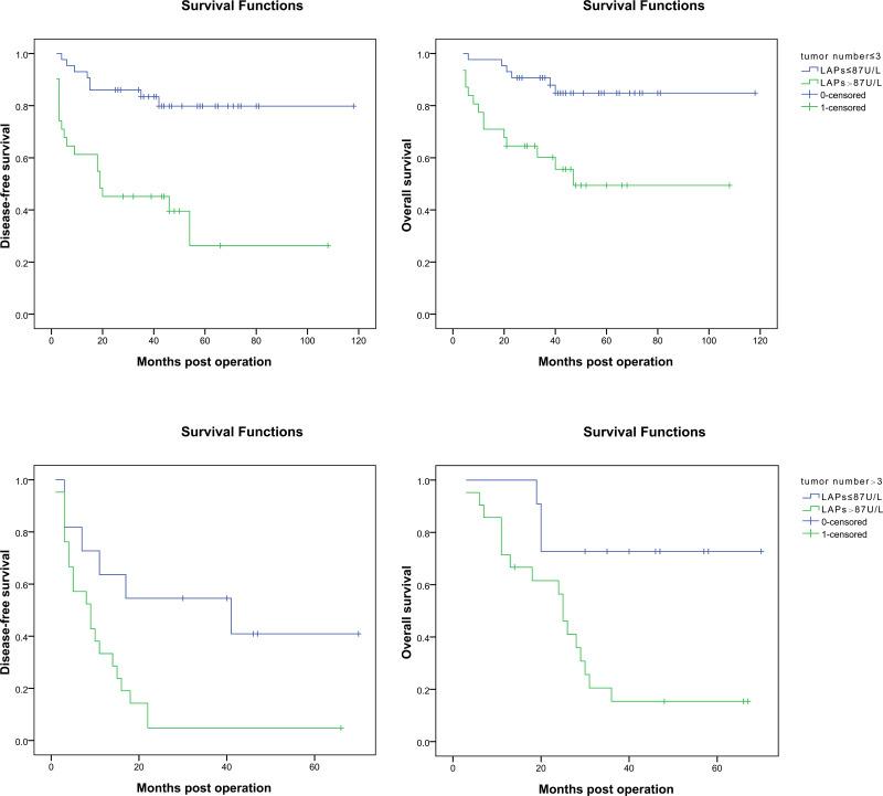
Serum LAPs were correlated with alpha-fetoprotein (AFP), the largest tumor size, tumor number and macro-vascular invasion. Patients with serum LAPs > 87 U/L showed significantly poorer disease-free survival (DFS) and overall survival (OS) than those with serum LAPs ≤ 87 U/L. Univariate analysis indicated that serum LAPs, AFP, the largest tumor size, tumor number, and macro- and micro-vascular invasion were all associated with DFS and OS. Multivariate analysis showed that serum LAPs, macro-vascular invasion and the largest tumor size were independently correlated with DFS and OS. Serum LAPs could also distinguish prognosis between patients with different status of AFP, the largest tumor size, tumor number, and macro- and micro-vascular invasion, as well as patients within and beyond selection criteria, such as Milan, University of California, San Francisco and Hangzhou criteria.

CONCLUSION

Elevated preoperative serum LAPs were associated with advanced tumor stage and aggressive biological behavior, and thus a poor outcome, which could be a prognostic marker for HCC patients who underwent LT.

摘要

背景

据报道,亮氨酸氨肽酶(LAPs)参与肿瘤细胞增殖、侵袭和血管生成。然而,血清亮氨酸氨肽酶与接受肝移植(LT)的肝细胞癌(HCC)患者预后之间的关系尚未见报道。我们旨在评估术前血清亮氨酸氨肽酶对这些患者的预后价值。

方法

回顾性分析106例接受LT的HCC患者的临床资料。采用卡方检验比较不同血清LAP水平患者的性别比例、年龄、乙肝病毒感染情况、Child-Pugh分级、术前肿瘤治疗情况、甲胎蛋白(AFP)、最大肿瘤大小、肿瘤数量、Edmondson分级、大血管和微血管侵犯情况,以及符合米兰、加州大学旧金山分校或杭州标准患者的构成情况。采用Kaplan-Meier法进行生存分析,采用对数秩检验进行生存比较。

结果

血清LAPs与甲胎蛋白(AFP)、最大肿瘤大小、肿瘤数量和大血管侵犯相关。血清LAPs>87 U/L的患者无病生存期(DFS)和总生存期(OS)明显低于血清LAPs≤87 U/L的患者。单因素分析表明,血清LAPs、AFP、最大肿瘤大小、肿瘤数量以及大血管和微血管侵犯均与DFS和OS相关。多因素分析显示,血清LAPs、大血管侵犯和最大肿瘤大小与DFS和OS独立相关。血清LAPs还可以区分不同AFP状态、最大肿瘤大小、肿瘤数量以及大血管和微血管侵犯情况患者之间的预后,以及符合或不符合米兰、加州大学旧金山分校和杭州等选择标准患者之间的预后。

结论

术前血清LAPs升高与肿瘤分期进展和侵袭性生物学行为相关,因此预后较差,这可能是接受LT的HCC患者的一个预后标志物。

https://cdn.ncbi.nlm.nih.gov/pmc/blobs/fbb7/7872923/434383273a98/CMAR-13-1053-g0001.jpg

文献AI研究员

20分钟写一篇综述,助力文献阅读效率提升50倍。

立即体验

用中文搜PubMed

大模型驱动的PubMed中文搜索引擎

马上搜索

文档翻译

学术文献翻译模型,支持多种主流文档格式。

立即体验