Suppr超能文献

成年人智力残疾性虐待的流行率:系统评价和荟萃分析。

Prevalence of Sexual Abuse in Adults with Intellectual Disability: Systematic Review and Meta-Analysis.

机构信息

Department of Psychology, University of Bucharest, 050663 Bucharest, Romania.

PROTEDIS/Faculty of Psychology, Universidad Nacional de Educación a Distancia (UNED), 28040 Madrid, Spain.

出版信息

Int J Environ Res Public Health. 2021 Feb 18;18(4):1980. doi: 10.3390/ijerph18041980.

Abstract

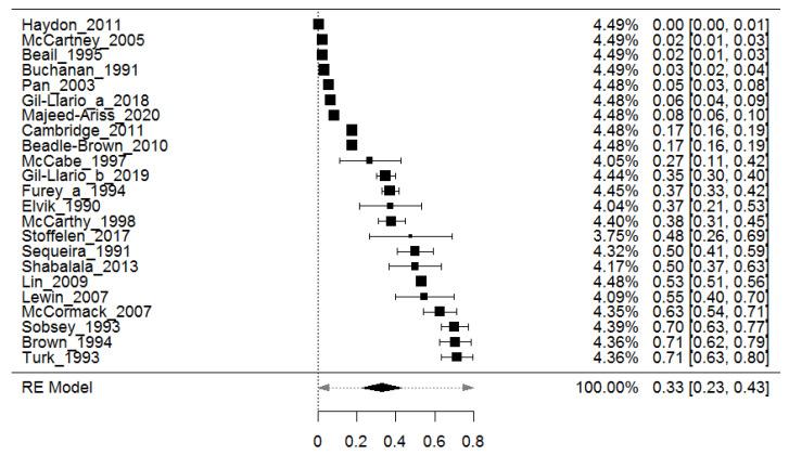
This study presents the results of a systematic review on the prevalence of sexual abuse experienced in adulthood by individuals with intellectual disability. An electronic and manual search of academic journals was performed on four databases via EBSCO Host: Academic Search Complete, PsycINFO, Medline, CINAHL Full-Text. In addition, PubMed, ProQuest, and Web of Science (core collection) were searched. After an initial selection of 1037 documents, 25 articles remained for quantitative synthesis. The combined prevalence of sexual abuse in adults with intellectual disability was 32.9% (95% CI: 22.7-43.0) and sensitivity analysis revealed that the prevalence was not outweighed by a single study. Overall, the United Kingdom had the highest prevalence (r = 34.1%), and the USA had the lowest (r = 15.2%). The overall prevalence in females was lower (r = 31.8%) than that in males (r = 39.9%). Subgroup analyses revealed that prevalence of sexual abuse was higher in institutionalized individuals. The most prevalent profile of abuser is of a peer with intellectual disability. Prevalence increases from mild to severe levels of intellectual disability and decreases in profound levels. It is also more prevalent when the informant is the individual with intellectual disability than when someone else reports abuse. In sum, one in three adults with intellectual disability suffers sexual abuse in adulthood. Special attention should be paid for early detection and intervention in high risk situations.

摘要

本研究呈现了一项系统综述的结果,该综述关注成年人中智力障碍个体经历性虐待的普遍性。通过 EBSCOHost 对四个数据库(Academic Search Complete、PsycINFO、Medline、CINAHL Full-Text)进行了电子和手动检索,此外还在 PubMed、ProQuest 和 Web of Science(核心合集)上进行了检索。经过初步筛选出的 1037 篇文献,有 25 篇文章可进行定量综合分析。智力障碍成年人的性虐待总发生率为 32.9%(95%CI:22.7-43.0),敏感性分析显示单一研究并未改变该发生率。总体而言,英国的发生率最高(r = 34.1%),而美国的发生率最低(r = 15.2%)。女性的总体发生率较低(r = 31.8%),而男性的发生率较高(r = 39.9%)。亚组分析显示,性虐待在机构化个体中更为普遍。最常见的施虐者是具有智力障碍的同龄人。性虐待的发生率随着智力障碍程度从轻到重而增加,并在深度智力障碍水平下降。当信息来源是智力障碍个体时,发生率也更高,而当其他人报告虐待时,发生率则较低。总之,每三个智力障碍成年人中就有一个在成年期遭受性虐待。应特别关注高危情境中的早期检测和干预。

https://cdn.ncbi.nlm.nih.gov/pmc/blobs/b489/7921934/165cab3085a6/ijerph-18-01980-g001.jpg

文献AI研究员

20分钟写一篇综述,助力文献阅读效率提升50倍。

立即体验

用中文搜PubMed

大模型驱动的PubMed中文搜索引擎

马上搜索

文档翻译

学术文献翻译模型,支持多种主流文档格式。

立即体验