Suppr超能文献

新型冠状病毒肺炎的潜伏期和传染期:系统回顾和荟萃分析。

Serial interval and incubation period of COVID-19: a systematic review and meta-analysis.

机构信息

Department of Public Health, Debre Markos University, Debre Markos, Ethiopia.

Department of Epidemiology and Biostatistics, Institute of Public Health, College of Medicine and Health Science, University of Gondar, Gondar, Ethiopia.

出版信息

BMC Infect Dis. 2021 Mar 11;21(1):257. doi: 10.1186/s12879-021-05950-x.

Abstract

BACKGROUND

Understanding the epidemiological parameters that determine the transmission dynamics of COVID-19 is essential for public health intervention. Globally, a number of studies were conducted to estimate the average serial interval and incubation period of COVID-19. Combining findings of existing studies that estimate the average serial interval and incubation period of COVID-19 significantly improves the quality of evidence. Hence, this study aimed to determine the overall average serial interval and incubation period of COVID-19.

METHODS

We followed the PRISMA checklist to present this study. A comprehensive search strategy was carried out from international electronic databases (Google Scholar, PubMed, Science Direct, Web of Science, CINAHL, and Cochrane Library) by two experienced reviewers (MAA and DBK) authors between the 1st of June and the 31st of July 2020. All observational studies either reporting the serial interval or incubation period in persons diagnosed with COVID-19 were included in this study. Heterogeneity across studies was assessed using the I and Higgins test. The NOS adapted for cross-sectional studies was used to evaluate the quality of studies. A random effect Meta-analysis was employed to determine the pooled estimate with 95% (CI). Microsoft Excel was used for data extraction and R software was used for analysis.

RESULTS

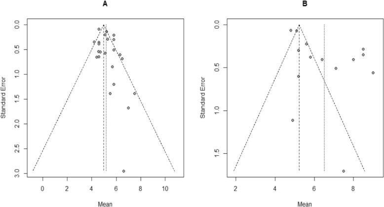
We combined a total of 23 studies to estimate the overall mean serial interval of COVID-19. The mean serial interval of COVID-19 ranged from 4. 2 to 7.5 days. Our meta-analysis showed that the weighted pooled mean serial interval of COVID-19 was 5.2 (95%CI: 4.9-5.5) days. Additionally, to pool the mean incubation period of COVID-19, we included 14 articles. The mean incubation period of COVID-19 also ranged from 4.8 to 9 days. Accordingly, the weighted pooled mean incubation period of COVID-19 was 6.5 (95%CI: 5.9-7.1) days.

CONCLUSIONS

This systematic review and meta-analysis showed that the weighted pooled mean serial interval and incubation period of COVID-19 were 5.2, and 6.5 days, respectively. In this study, the average serial interval of COVID-19 is shorter than the average incubation period, which suggests that substantial numbers of COVID-19 cases will be attributed to presymptomatic transmission.

摘要

背景

了解决定 COVID-19 传播动态的流行病学参数对于公共卫生干预至关重要。在全球范围内,进行了多项研究来估计 COVID-19 的平均序列间隔和潜伏期。合并现有研究中 COVID-19 的平均序列间隔和潜伏期的结果显著提高了证据的质量。因此,本研究旨在确定 COVID-19 的总体平均序列间隔和潜伏期。

方法

我们遵循 PRISMA 清单呈现本研究。两名经验丰富的审查员(MAA 和 DBK)作者于 2020 年 6 月 1 日至 7 月 31 日期间,从国际电子数据库(Google Scholar、PubMed、Science Direct、Web of Science、CINAHL 和 Cochrane Library)进行了全面的搜索策略。所有报告 COVID-19 确诊患者的序列间隔或潜伏期的观察性研究均纳入本研究。使用 I ²和 Higgins 检验评估研究之间的异质性。使用针对横断面研究的 NOS 评估研究质量。采用随机效应 Meta 分析确定合并估计值和 95%(CI)。使用 Microsoft Excel 进行数据提取,使用 R 软件进行分析。

结果

我们合并了总共 23 项研究来估计 COVID-19 的总体平均序列间隔。COVID-19 的平均序列间隔范围为 4.2 至 7.5 天。我们的荟萃分析显示,COVID-19 的加权平均序列间隔为 5.2(95%CI:4.9-5.5)天。此外,为了合并 COVID-19 的平均潜伏期,我们纳入了 14 篇文章。COVID-19 的平均潜伏期也在 4.8 至 9 天之间。因此,COVID-19 的加权平均潜伏期为 6.5(95%CI:5.9-7.1)天。

结论

本系统评价和荟萃分析显示,COVID-19 的加权平均序列间隔和潜伏期分别为 5.2 和 6.5 天。在这项研究中,COVID-19 的平均序列间隔短于平均潜伏期,这表明大量 COVID-19 病例归因于症状前传播。

https://cdn.ncbi.nlm.nih.gov/pmc/blobs/e13f/7953792/99f2a23dd72e/12879_2021_5950_Fig1_HTML.jpg

文献AI研究员

20分钟写一篇综述,助力文献阅读效率提升50倍。

立即体验

用中文搜PubMed

大模型驱动的PubMed中文搜索引擎

马上搜索

文档翻译

学术文献翻译模型,支持多种主流文档格式。

立即体验