Suppr超能文献

肯尼亚察沃生态系统中的野生动物路杀现象:识别热点区域、潜在驱动因素及受影响物种。

Wildlife roadkill in the Tsavo Ecosystem, Kenya: identifying hotspots, potential drivers, and affected species.

作者信息

Lala Fredrick, Chiyo Patrick I, Kanga Erustus, Omondi Patrick, Ngene Shadrack, Severud William J, Morris Aaron W, Bump Joseph

机构信息

Kenya Wildlife Service, P.O. Box 40241 00100 Nairobi, Kenya.

University of Minnesota, St. Paul, 55108-6074 MN, USA.

出版信息

Heliyon. 2021 Mar 8;7(3):e06364. doi: 10.1016/j.heliyon.2021.e06364. eCollection 2021 Mar.

Abstract

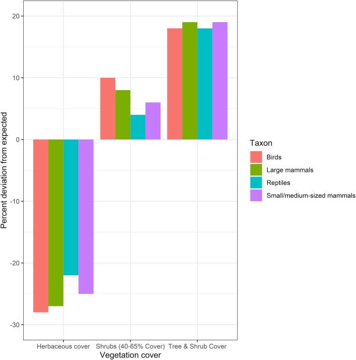
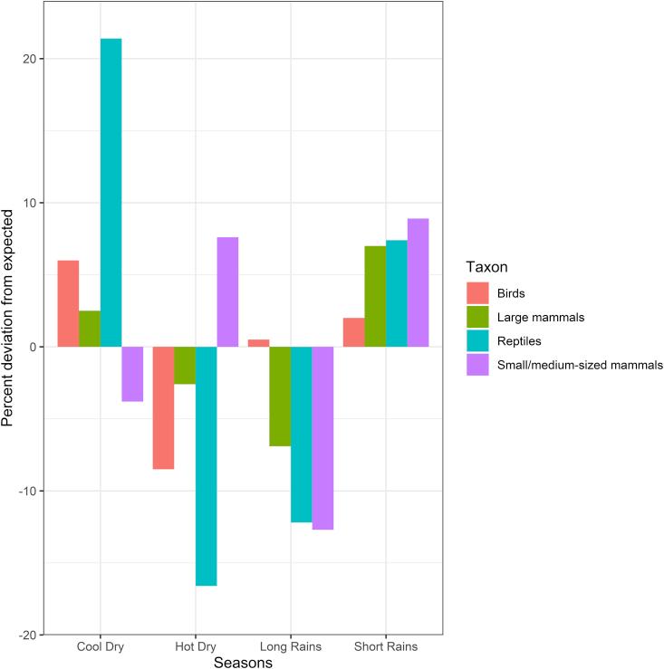
Roadkill is one of the highest causes of wildlife mortality and is of global conservation concern. Most roadkill studies have focused on wildlife in developed countries such as the United States of America and temperate biomes, but there are limited data for the impacts of roads on wildlife in the African tropics, where road infrastructure development is projected to grow rapidly in natural environments and conservation areas. The Tsavo Conservation Area is an important biodiversity hotspot in eastern Kenya and is bisected by a major highway and railways that connect the port of Mombasa to the interior. Along this infrastructure corridor, roadkill was recorded for 164 days over an 11-year period (2007-2018). In total, 1,436 roadkill were recorded from 13,008 km driven of a 164.42 km Nairobi-Mombasa road representing 0.11 collisions per kilometer. The majority of roadkill were small to medium sized mammals (<15kg) (53%; n = 756), whereas birds comprised 32% (n = 460), reptiles 10% (n = 143), with the remaining 5% (n = 77) being large mammals (>15kg). Of the 460 birds recorded, 264 were identifiable represented by 62 species. All large mammals comprising 10 species were identified, including the African elephant, and the endangered African wild dog, s. Thirteen species of small mammal were also identified dominated by Kirk's dik-dik (). Reptiles were represented by 11 species which were identified to the species level. Roadkill hotspots were identified using a kernel density method. The spatial distribution of roadkill was associated with adjacent shrub vegetation and proximity to permanent and seasonal rivers, and differences in seasonality and habitats were observed. Roadkill was lowest on road sections that traversed settled areas as opposed to roads adjacent to the protected areas. The results demonstrate that roadkill for two of the taxonomic groups - mammals and birds - appear high with numerous species detected in the Tsavo Conservation Area. These results can be used to focus efforts to reduce wildlife mortality by guiding future mitigation efforts.

摘要

道路交通事故导致的野生动物死亡是野生动物死亡率的主要原因之一,受到全球保护组织的关注。大多数关于道路交通事故导致野生动物死亡的研究都集中在美国等发达国家的野生动物以及温带生物群落上,但对于非洲热带地区道路对野生动物的影响,相关数据有限。而在非洲热带地区,道路基础设施建设预计将在自然环境和保护区迅速增长。察沃保护区是肯尼亚东部一个重要的生物多样性热点地区,一条连接蒙巴萨港和内陆的主要高速公路和铁路将其一分为二。在这条基础设施走廊沿线,在11年期间(2007 - 2018年)进行了164天的道路交通事故导致野生动物死亡记录。在内罗毕 - 蒙巴萨164.42公里道路上,共行驶了13008公里,记录到1436起道路交通事故导致的野生动物死亡事件,即每公里0.11起碰撞事故。道路交通事故导致死亡的野生动物大多数是中小型哺乳动物(<15公斤)(53%;n = 756),而鸟类占32%(n = 460),爬行动物占10%(n = 143),其余5%(n = 77)是大型哺乳动物(>15公斤)。在记录的460只鸟类中,264只可识别,分属于62个物种。所有10种大型哺乳动物都已识别出来,包括非洲象和濒危的非洲野犬。还识别出13种小型哺乳动物,以柯氏犬羚为主。爬行动物有11种,都已鉴定到物种级别。使用核密度方法确定了道路交通事故导致野生动物死亡的热点区域。道路交通事故导致野生动物死亡的空间分布与相邻的灌木植被以及与永久性和季节性河流的距离有关,并且观察到季节性和栖息地的差异。与保护区相邻的道路相比,穿越居民区的路段道路交通事故导致的野生动物死亡数量最少。结果表明,在察沃保护区检测到许多物种,道路交通事故导致哺乳动物和鸟类这两个分类组中的野生动物死亡数量似乎很高。这些结果可用于指导未来的缓解措施,集中精力减少野生动物死亡率。

https://cdn.ncbi.nlm.nih.gov/pmc/blobs/495d/7972970/ecec95212df5/gr1.jpg

文献AI研究员

20分钟写一篇综述,助力文献阅读效率提升50倍。

立即体验

用中文搜PubMed

大模型驱动的PubMed中文搜索引擎

马上搜索

文档翻译

学术文献翻译模型,支持多种主流文档格式。

立即体验