Suppr超能文献

与清髓性异基因造血细胞移植相比,儿科样化疗可显著提高 Ph 阴性急性淋巴细胞白血病初治完全缓解中老年青少年和年轻成人的生存:CALGB 10403 和 CIBMTR 分析。

Superior survival with pediatric-style chemotherapy compared to myeloablative allogeneic hematopoietic cell transplantation in older adolescents and young adults with Ph-negative acute lymphoblastic leukemia in first complete remission: analysis from CALGB 10403 and the CIBMTR.

机构信息

University of California, San Diego Medical Center, La Jolla, CA, USA.

University of Chicago Medicine, Chicago, IL, USA.

出版信息

Leukemia. 2021 Jul;35(7):2076-2085. doi: 10.1038/s41375-021-01213-5. Epub 2021 Mar 30.

Abstract

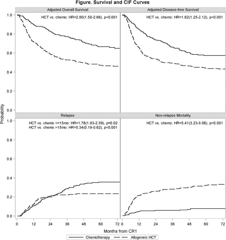
Optimal post-remission therapy for adolescents and young adults (AYAs) with Ph-negative acute lymphoblastic leukemia (ALL) in first complete remission (CR1) is not established. We compared overall survival (OS), disease-free survival (DFS), relapse, and non-relapse mortality (NRM) for patients receiving post-remission therapy on CALGB 10403 to a cohort undergoing myeloablative (MA) allogeneic hematopoietic cell transplantation (HCT) in CR1. In univariate analysis, OS was superior with chemotherapy compared to MA allogeneic HCT (3-year OS 77% vs. 53%, P < 0.001). In multivariate analysis, allogeneic HCT showed inferior OS (HR 2.00, 95% CI 1.5-2.66, P < 0.001), inferior DFS (HR 1.62, 95% CI 1.25-2.12, P < 0.001), and increased NRM (HR 5.41, 95% CI 3.23-9.06, P < 0.001) compared to chemotherapy. A higher 5-year relapse incidence was seen with chemotherapy compared to allogeneic HCT (34% vs. 23%, P = 0.011). Obesity was independently associated with inferior OS (HR 2.17, 95% CI 1.63-2.89, P < 0.001), inferior DFS (HR 1.97, 95% CI 1.51-2.57, P < 0.001), increased relapse (1.84, 95% CI 1.31-2.59, P < 0.001), and increased NRM (HR 2.10, 95% CI 1.37-3.23, P < 0.001). For AYA ALL patients in CR1, post-remission therapy with pediatric-style chemotherapy is superior to MA allogeneic HCT for OS, DFS, and NRM.

摘要

对于处于首次完全缓解(CR1)的 Ph 阴性急性淋巴细胞白血病(ALL)青少年和年轻成人(AYA),最佳缓解后治疗尚未确定。我们比较了接受 CALGB 10403 缓解后治疗的患者与在 CR1 接受清髓性(MA)异基因造血细胞移植(HCT)的患者的总生存(OS)、无病生存(DFS)、复发和非复发死亡率(NRM)。在单因素分析中,与 MA 异基因 HCT 相比,化疗的 OS 更高(3 年 OS 为 77% vs. 53%,P<0.001)。在多因素分析中,异基因 HCT 的 OS 较差(HR 2.00,95%CI 1.5-2.66,P<0.001),DFS 较差(HR 1.62,95%CI 1.25-2.12,P<0.001),NRM 增加(HR 5.41,95%CI 3.23-9.06,P<0.001)与化疗相比。与异基因 HCT 相比,化疗后 5 年复发率更高(34% vs. 23%,P=0.011)。肥胖与 OS 较差独立相关(HR 2.17,95%CI 1.63-2.89,P<0.001),DFS 较差(HR 1.97,95%CI 1.51-2.57,P<0.001),复发率增加(HR 1.84,95%CI 1.31-2.59,P<0.001),NRM 增加(HR 2.10,95%CI 1.37-3.23,P<0.001)。对于 CR1 中的 AYA ALL 患者,缓解后采用儿科样化疗的治疗优于 MA 异基因 HCT,在 OS、DFS 和 NRM 方面。

https://cdn.ncbi.nlm.nih.gov/pmc/blobs/469d/8257494/e0fa6f205277/41375_2021_1213_Fig1_HTML.jpg

文献AI研究员

20分钟写一篇综述,助力文献阅读效率提升50倍。

立即体验

用中文搜PubMed

大模型驱动的PubMed中文搜索引擎

马上搜索

文档翻译

学术文献翻译模型,支持多种主流文档格式。

立即体验