Suppr超能文献

新合成的查尔酮 L1 参与 HeLa 细胞的生长抑制、凋亡诱导和上皮-间充质转化抑制。

The Newly Synthetized Chalcone L1 Is Involved in the Cell Growth Inhibition, Induction of Apoptosis and Suppression of Epithelial-to-Mesenchymal Transition of HeLa Cells.

机构信息

Department of Pharmacology, Faculty of Medicine, P. J. Safarik University, 04011 Košice, Slovakia.

Department of Chemistry, Biochemistry and Biophysics, University of Veterinary Medicine and Pharmacy, 04181 Košice, Slovakia.

出版信息

Molecules. 2021 Mar 3;26(5):1356. doi: 10.3390/molecules26051356.

Abstract

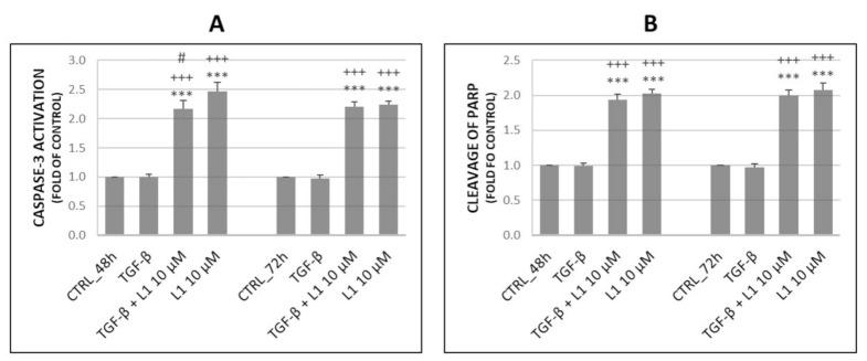
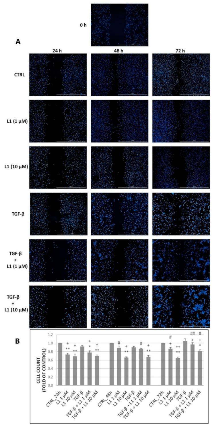
Over the past decades, natural products have emerged as promising agents with multiple biological activities. Many studies suggest the antioxidant, antiangiogenic, antiproliferative and anticancer effects of chalcones and their derivatives. Based on these findings, we decided to evaluate the effects of the newly synthetized chalcone L1 in a human cervical carcinoma cell (HeLa) model. Presented results were obtained by western blot and flow cytometric analyses, live cell imaging and antimigratory potential of L1 in HeLa cells was demonstrated by scratch assay. In the present study, we proved the role of L1 as an effective agent with antiproliferative activity supported by G2/M cell cycle arrest and apoptosis. Moreover, we proved that L1 is involved in modulating Transforming Growth Factor-β1 (TGF-β) signal transduction through Smad proteins and it also modulates other signalling pathways including Akt, JNK, p38 MAPK, and Erk1/2. The involvement of L1 in epithelial-to-mesenchymal transition was demonstrated by the regulation of N-cadherin, E-cadherin, and MMP-9 levels. Here, we also evaluated the effect of conditioned medium from BJ-5ta human foreskin fibroblasts in HeLa cell cultures with subsequent L1 treatment. Taken together, these data suggest the potential role of newly synthesized chalcone L1 as an anticancer-tumour microenvironment modulating agent.

摘要

在过去的几十年中,天然产物已成为具有多种生物活性的有前途的药物。许多研究表明查耳酮及其衍生物具有抗氧化、抗血管生成、抗增殖和抗癌作用。基于这些发现,我们决定在人宫颈癌细胞(HeLa)模型中评估新合成的查尔酮 L1 的作用。通过 Western blot 和流式细胞术分析、活细胞成像以及划痕实验证明了 L1 在 HeLa 细胞中的迁移抑制潜力,得出了本文呈现的结果。在本研究中,我们通过 G2/M 细胞周期阻滞和细胞凋亡证明了 L1 作为一种有效的抗增殖活性药物的作用。此外,我们证明 L1 通过 Smad 蛋白参与调节转化生长因子-β1(TGF-β)信号转导,还调节包括 Akt、JNK、p38 MAPK 和 Erk1/2 在内的其他信号通路。通过调节 N-钙粘蛋白、E-钙粘蛋白和 MMP-9 水平,证明了 L1 参与上皮-间充质转化。在这里,我们还评估了 BJ-5ta 人包皮成纤维细胞条件培养基对 HeLa 细胞培养物的影响,以及随后用 L1 处理的情况。综上所述,这些数据表明新合成的查尔酮 L1 作为一种抗癌肿瘤微环境调节药物具有潜在作用。

https://cdn.ncbi.nlm.nih.gov/pmc/blobs/137b/7961543/c27ef46ea79f/molecules-26-01356-g001.jpg

文献AI研究员

20分钟写一篇综述,助力文献阅读效率提升50倍。

立即体验

用中文搜PubMed

大模型驱动的PubMed中文搜索引擎

马上搜索

文档翻译

学术文献翻译模型,支持多种主流文档格式。

立即体验