Suppr超能文献

利用低密度 SNP 面板进行生长的基因组预测在单峰驼中。

Genomic prediction for growth using a low-density SNP panel in dromedary camels.

机构信息

Animal Science Research Department, Yazd Agricultural and Natural Resources Research and Education Center, Agricultural Research, Education & Extension Organization (AREEO), 8915813155, Yazd, Iran.

Department of Biotechnology, Animal Science Research Institute of IRAN (ASRI), Agricultural Research, Education & Extension Organization (AREEO), 3146618361, Karaj, Iran.

出版信息

Sci Rep. 2021 Apr 7;11(1):7675. doi: 10.1038/s41598-021-87296-7.

Abstract

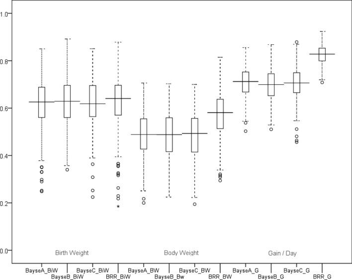
For thousands of years, camels have produced meat, milk, and fiber in harsh desert conditions. For a sustainable development to provide protein resources from desert areas, it is necessary to pay attention to genetic improvement in camel breeding. By using genotyping-by-sequencing (GBS) method we produced over 14,500 genome wide markers to conduct a genome- wide association study (GWAS) for investigating the birth weight, daily gain, and body weight of 96 dromedaries in the Iranian central desert. A total of 99 SNPs were associated with birth weight, daily gain, and body weight (p-value < 0.002). Genomic breeding values (GEBVs) were estimated with the BGLR package using (i) all 14,522 SNPs and (ii) the 99 SNPs by GWAS. Twenty-eight SNPs were associated with birth weight, daily gain, and body weight (p-value < 0.001). Annotation of the genomic region (s) within ± 100 kb of the associated SNPs facilitated prediction of 36 candidate genes. The accuracy of GEBVs was more than 0.65 based on all 14,522 SNPs, but the regression coefficients for birth weight, daily gain, and body weight were 0.39, 0.20, and 0.23, respectively. Because of low sample size, the GEBVs were predicted using the associated SNPs from GWAS. The accuracy of GEBVs based on the 99 associated SNPs was 0.62, 0.82, and 0.57 for birth weight, daily gain, and body weight. This report is the first GWAS using GBS on dromedary camels and identifies markers associated with growth traits that could help to plan breeding program to genetic improvement. Further researches using larger sample size and collaboration of the camel farmers and more profound understanding will permit verification of the associated SNPs identified in this project. The preliminary results of study show that genomic selection could be the appropriate way to genetic improvement of body weight in dromedary camels, which is challenging due to a long generation interval, seasonal reproduction, and lack of records and pedigrees.

摘要

几千年来,骆驼在恶劣的沙漠环境中生产肉、奶和纤维。为了实现可持续发展,为沙漠地区提供蛋白质资源,有必要在骆驼养殖中注重遗传改良。我们使用基因型测序(GBS)方法生成了超过 14500 个全基因组标记,对 96 峰单峰驼在伊朗中部沙漠的出生体重、日增重和体重进行了全基因组关联研究(GWAS)。共有 99 个 SNP 与出生体重、日增重和体重相关(p 值<0.002)。使用 BGLR 包使用(i)所有 14522 个 SNP 和(ii)GWAS 中的 99 个 SNP 估计基因组育种值(GEBV)。28 个 SNP 与出生体重、日增重和体重相关(p 值<0.001)。注释相关 SNP 附近±100 kb 的基因组区域有助于预测 36 个候选基因。基于所有 14522 个 SNP,GEBV 的准确性超过 0.65,但出生体重、日增重和体重的回归系数分别为 0.39、0.20 和 0.23。由于样本量小,使用 GWAS 中的相关 SNP 预测 GEBVs。基于 99 个相关 SNP 的 GEBVs 的准确性分别为 0.62、0.82 和 0.57,用于出生体重、日增重和体重。本报告是首次使用 GBS 对单峰驼进行 GWAS,并鉴定出与生长性状相关的标记,这有助于计划遗传改良的育种计划。使用更大的样本量进行进一步研究,并与骆驼农民合作,以及更深入的了解,将允许验证本项目中确定的相关 SNP。研究的初步结果表明,基因组选择可能是单峰驼体重遗传改良的合适方法,由于世代间隔长、季节性繁殖以及缺乏记录和系谱,这一方法具有挑战性。

https://cdn.ncbi.nlm.nih.gov/pmc/blobs/2922/8027435/ccc004b4aef9/41598_2021_87296_Fig1_HTML.jpg

文献AI研究员

20分钟写一篇综述,助力文献阅读效率提升50倍。

立即体验

用中文搜PubMed

大模型驱动的PubMed中文搜索引擎

马上搜索

文档翻译

学术文献翻译模型,支持多种主流文档格式。

立即体验