Suppr超能文献

基于 RNA 测序和生物信息学的口腔鳞状细胞癌基因预后特征的鉴定。

Identification of a Gene Prognostic Signature for Oral Squamous Cell Carcinoma by RNA Sequencing and Bioinformatics.

机构信息

Beijing Stomatological Hospital, Capital Medical University, Beijing 100050, China.

出版信息

Biomed Res Int. 2021 Apr 1;2021:6657767. doi: 10.1155/2021/6657767. eCollection 2021.

Abstract

OBJECTIVES

Oral squamous cell carcinoma (OSCC) is the most common oral cancer and has a poor prognosis. We aimed to identify new biomarkers or potential therapeutic targets for OSCC.

MATERIALS AND METHODS

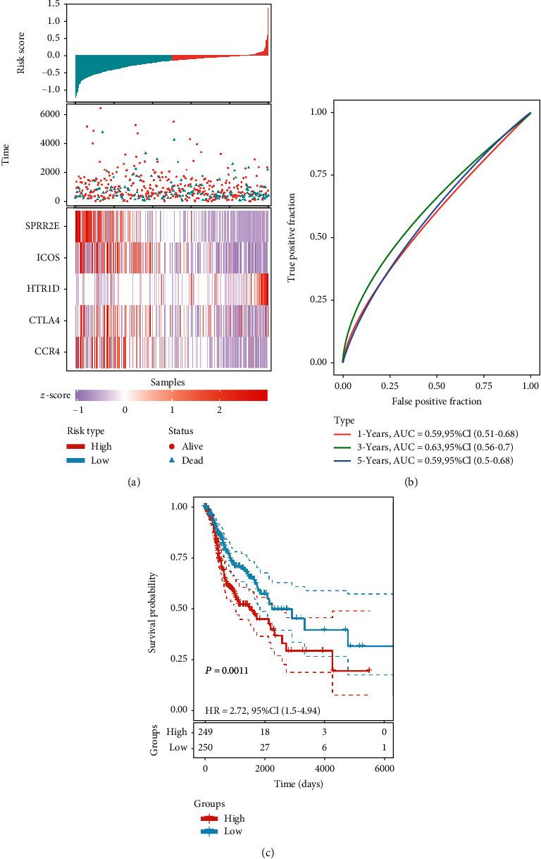
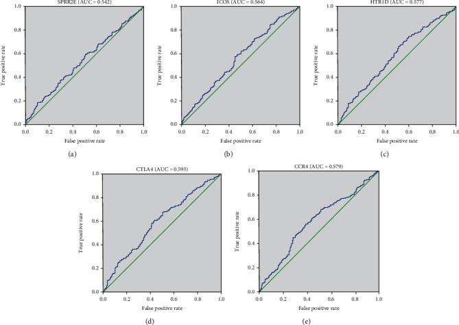
Four pairs of tumor and adjacent normal tissues were collected from OSCC patients, and differentially expressed genes (DEGs) were screened via high-throughput RNA sequencing (RNA-seq). Gene Ontology (GO) and Kyoto Encyclopedia of Genes and Genomes (KEGG) pathway enrichment analyses were used to analyze the DEGs. A protein-protein interaction (PPI) network was established with the Search Tool for the Retrieval of Interacting Genes/Proteins (STRING) database and Cytoscape, and two significant clusters were found. Candidate genes were screened by analyzing head and neck squamous cell carcinoma (HNSCC) data from The Cancer Genome Atlas (TCGA). A DEG-based risk model was established to predict the overall survival (OS) of OSCC patients via Kaplan-Meier analysis and the log-rank test. Furthermore, univariate Cox regression analysis was applied to assess associations between potential biomarkers and the overall survival rate.

RESULTS

Of 720 total DEGs, fifty-two DEGs in the two subclusters of the PPI network analysis were selected. A risk model was established, and five candidate genes (SPRR2E, ICOS, CTLA4, HTR1D, and CCR4) were identified as biomarkers of OS in OSCC patients.

CONCLUSIONS

We successfully constructed a prognostic signature to predict prognosis and identified five candidate genes associated with the OS of OSCC patients that are potential tumor biomarkers and targets in OSCC.

摘要

目的

口腔鳞状细胞癌(OSCC)是最常见的口腔癌,预后较差。本研究旨在寻找 OSCC 的新生物标志物或潜在治疗靶点。

材料与方法

从 OSCC 患者中收集了四对肿瘤和相邻正常组织,并通过高通量 RNA 测序(RNA-seq)筛选差异表达基因(DEGs)。采用基因本体论(GO)和京都基因与基因组百科全书(KEGG)通路富集分析对 DEGs 进行分析。利用 Search Tool for the Retrieval of Interacting Genes/Proteins(STRING)数据库和 Cytoscape 构建蛋白质-蛋白质相互作用(PPI)网络,并发现了两个显著的聚类。通过分析癌症基因组图谱(TCGA)中的头颈部鳞状细胞癌(HNSCC)数据筛选候选基因。通过 Kaplan-Meier 分析和对数秩检验,基于 DEG 的风险模型来预测 OSCC 患者的总生存期(OS)。此外,还应用单因素 Cox 回归分析评估了潜在生物标志物与总生存率之间的相关性。

结果

在总共 720 个 DEGs 中,在 PPI 网络分析的两个子群中选择了 52 个 DEGs。构建了风险模型,并确定了五个候选基因(SPRR2E、ICOS、CTLA4、HTR1D 和 CCR4)作为 OSCC 患者 OS 的生物标志物。

结论

我们成功构建了一个预测预后的风险模型,并确定了五个与 OSCC 患者 OS 相关的候选基因,它们可能是 OSCC 的潜在肿瘤生物标志物和治疗靶点。

https://cdn.ncbi.nlm.nih.gov/pmc/blobs/97a8/8032525/95f33c62eace/BMRI2021-6657767.001.jpg

文献AI研究员

20分钟写一篇综述,助力文献阅读效率提升50倍。

立即体验

用中文搜PubMed

大模型驱动的PubMed中文搜索引擎

马上搜索

文档翻译

学术文献翻译模型,支持多种主流文档格式。

立即体验