Suppr超能文献

一种基于临床特征和血液生物标志物的新型预后模型可预测鼻咽癌患者的总生存期。

A novel prognostic model predicts overall survival in patients with nasopharyngeal carcinoma based on clinical features and blood biomarkers.

机构信息

Department Of Clinical Laboratory, Maoming People's Hospital, Maoming, P. R. China.

Department Of First Tumor, Maoming People's Hospital, Maoming, P. R. China.

出版信息

Cancer Med. 2021 Jun;10(11):3511-3523. doi: 10.1002/cam4.3839. Epub 2021 May 11.

Abstract

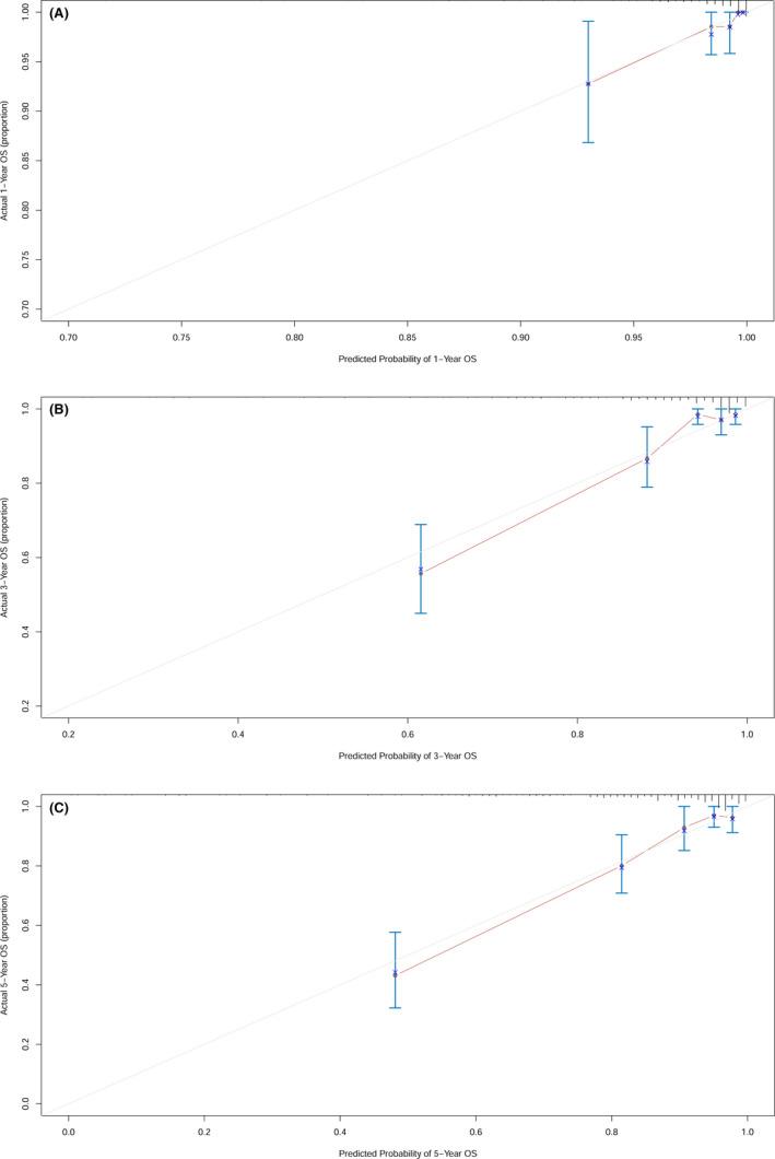
This study aims to develop and validate a novel prognostic model to estimate overall survival (OS) in nasopharyngeal carcinoma (NPC) patients based on clinical features and blood biomarkers. We assessed the model's incremental value to the TNM staging system, clinical treatment, and Epstein-Barr virus (EBV) DNA copy number for individual OS estimation. We retrospectively analyzed 519 consecutive patients with NPC. A prognostic model was generated using the Lasso regression model in the training cohort. Then we compared the predictive accuracy of the novel prognostic model with TNM staging, clinical treatment, and EBV DNA copy number using concordance index (C-index), time-dependent ROC (tdROC), and decision curve analysis (DCA). Subsequently, we built a nomogram for OS incorporating the prognostic model, TNM staging, and clinical treatment. Finally, we stratified patients into high-risk and low-risk groups according to the model risk score, and we analyzed the survival time of these two groups using Kaplan-Meier survival plots. All results were validated in the independent validation cohort. Using the Lasso regression, we established a prognostic model consisting of 13 variables with respect to patient prognosis. The C-index, tdROC, and DCA showed that the prognostic model had good predictive accuracy and discriminatory power in the training cohort than did TNM staging, clinical treatment, and EBV DNA copy number. Nomogram consisting of the prognostic model, TNM staging, clinical treatment, and EBV DNA copy number showed some superior net benefit. Based on the model risk score, we split the patients into two subgroups: low-risk (risk score ≤ -1.423) and high-risk (risk score > -1.423). There were significant differences in OS between the two subgroups of patients. Similar results were observed in the validation cohort. The proposed novel prognostic model based on clinical features and serological markers may represent a promising tool for estimating OS in NPC patients.

摘要

本研究旨在开发和验证一种新的预后模型,以基于临床特征和血液生物标志物来预测鼻咽癌(NPC)患者的总生存期(OS)。我们评估了该模型对 TNM 分期系统、临床治疗和 EBV DNA 拷贝数在个体 OS 估计方面的增量价值。我们回顾性分析了 519 例连续 NPC 患者。在训练队列中使用 Lasso 回归模型生成了预后模型。然后,我们使用一致性指数(C-index)、时间依赖性 ROC(tdROC)和决策曲线分析(DCA)比较了新型预后模型与 TNM 分期、临床治疗和 EBV DNA 拷贝数的预测准确性。随后,我们构建了一个包含预后模型、TNM 分期和临床治疗的 OS 列线图。最后,我们根据模型风险评分将患者分层为高风险和低风险组,并使用 Kaplan-Meier 生存图分析这两组的生存时间。所有结果均在独立验证队列中进行了验证。使用 Lasso 回归,我们建立了一个包含 13 个与患者预后相关变量的预后模型。C-index、tdROC 和 DCA 表明,与 TNM 分期、临床治疗和 EBV DNA 拷贝数相比,预后模型在训练队列中具有较好的预测准确性和区分能力。包含预后模型、TNM 分期、临床治疗和 EBV DNA 拷贝数的列线图显示出一定的净获益优势。根据模型风险评分,我们将患者分为两组:低风险(风险评分≤-1.423)和高风险(风险评分>-1.423)。两组患者的 OS 存在显著差异。在验证队列中也观察到了类似的结果。基于临床特征和血清学标志物的新型预后模型可能是一种预测 NPC 患者 OS 的有前途的工具。

https://cdn.ncbi.nlm.nih.gov/pmc/blobs/70f3/8178501/a15f24985343/CAM4-10-3511-g003.jpg

文献AI研究员

20分钟写一篇综述,助力文献阅读效率提升50倍。

立即体验

用中文搜PubMed

大模型驱动的PubMed中文搜索引擎

马上搜索

文档翻译

学术文献翻译模型,支持多种主流文档格式。

立即体验