Suppr超能文献

通过多种多普勒超声心动图参数评估肺动脉压及其与肺动脉高压患者心导管检查结果的相关性

Assessment of Pulmonary Artery Pressures by Various Doppler Echocardiographic Parameters and its Correlation with Cardiac Catheterization in Patients with Pulmonary Hypertension.

作者信息

Aashish Arumugam, Giridharan Srinivasan, Karthikeyan Selvaraj, Ganesh Balasubramaniyan Amirtha, Prasath Palamalai Arun

机构信息

Department of Cardiology, Mahatma Gandhi Medical College and Research Institute, Puducherry, India.

出版信息

Heart Views. 2020 Oct-Dec;21(4):263-268. doi: 10.4103/HEARTVIEWS.HEARTVIEWS_133_20. Epub 2021 Jan 14.

Abstract

BACKGROUND

Measuring pulmonary artery pressures is a routine index in Doppler echocardiography to diagnose, risk stratify, and prognosticate patients with pulmonary hypertension (PH). There are numerous methods in use to measure it in routine clinical practice.

OBJECTIVE

The objective of this study was to assess the correlation between the commonly used Doppler-derived parameters such as tricuspid regurgitation (TR)-derived systolic pulmonary artery pressure (SPAP), pulmonary regurgitation (PR)-derived mean pulmonary artery pressure (MPAP), and right ventricular outflow tract acceleration time (RVOT AcT) with right heart catheterization (RHC) data which are the gold standard.

MATERIALS AND METHODS

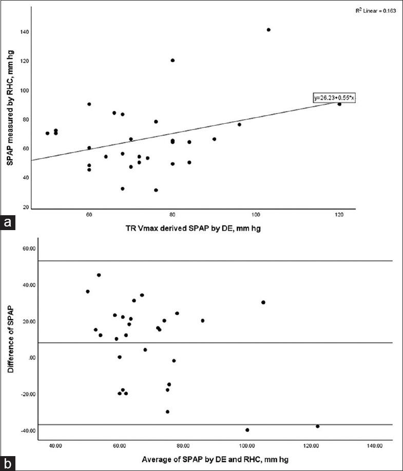
In this analytical study, we prospectively measured echo and angiogram parameters such as TR-derived SPAP, PR-derived MPAP, and RVOT AcT and studied its association with RHC data of thirty patients for a span of 2 years. Right ventricular AcT was also included in the study. Their relationship was displayed using Bland-Altman scatter plots. < 0.05 was considered as statistically significant.

RESULTS

Although both TR-derived SPAP and PR-derived MPAP had a moderate correlation with RHC-acquired data, the agreement between them was poor. RVOT AcT showed a strong inverse correlation with invasive MPAP.

CONCLUSION

Among the three Doppler methods that were assessed to measure pulmonary pressures, RVOT AcT had a strong correlation with MPAP. RVOT AcT of <80 ms had a high sensitivity to detect severe PH (defined as MPAP >45 mmHg). Hence, it is recommended to include AcT as a routine measure in the armamentarium of echocardiographic parameters used in patients with PH.

摘要

背景

测量肺动脉压力是多普勒超声心动图中用于诊断、风险分层和预测肺动脉高压(PH)患者的常规指标。在常规临床实践中有多种测量方法。

目的

本研究的目的是评估常用的多普勒衍生参数,如三尖瓣反流(TR)衍生的收缩期肺动脉压(SPAP)、肺动脉反流(PR)衍生的平均肺动脉压(MPAP)和右心室流出道加速时间(RVOT AcT)与作为金标准的右心导管检查(RHC)数据之间的相关性。

材料与方法

在这项分析性研究中,我们前瞻性地测量了回声和血管造影参数,如TR衍生的SPAP、PR衍生的MPAP和RVOT AcT,并在2年的时间里研究了其与30例患者的RHC数据的关联。研究中还纳入了右心室AcT。使用Bland-Altman散点图展示它们之间的关系。P < 0.05被认为具有统计学意义。

结果

尽管TR衍生的SPAP和PR衍生的MPAP与RHC获取的数据均具有中等相关性,但它们之间的一致性较差。RVOT AcT与有创MPAP呈强负相关。

结论

在评估的三种测量肺动脉压力的多普勒方法中,RVOT AcT与MPAP具有很强的相关性。RVOT AcT < 80 ms对检测重度PH(定义为MPAP > 45 mmHg)具有较高的敏感性。因此,建议将AcT作为PH患者超声心动图参数中的常规测量指标。

https://cdn.ncbi.nlm.nih.gov/pmc/blobs/5ecc/8104318/c7cfcee2e0c9/HV-21-263-g001.jpg

文献AI研究员

20分钟写一篇综述,助力文献阅读效率提升50倍。

立即体验

用中文搜PubMed

大模型驱动的PubMed中文搜索引擎

马上搜索

文档翻译

学术文献翻译模型,支持多种主流文档格式。

立即体验