Suppr超能文献

支气管哮喘患者外周血单个核细胞中 spondin 2 异常表达的临床意义。

The clinical significance of spondin 2 eccentric expression in peripheral blood mononuclear cells in bronchial asthma.

机构信息

Department of Pediatric, Shengzhou People's Hospital (the First Affiliated Hospital of Zhejiang University Shengzhou Branch), Shengzhou, China.

Department of Respiratory, Hangzhou Children's Hospital, Hangzhou, China.

出版信息

J Clin Lab Anal. 2021 Jun;35(6):e23764. doi: 10.1002/jcla.23764. Epub 2021 May 16.

Abstract

BACKGROUND

Bronchial asthma (BA) was a heterogeneous disease characterized by chronic airway inflammation. Spondin 2 (SPON2) was reported to be implicated in the integrin pathway, protein metabolism, and drug-induced lupus erythematosus. The purpose of this study was to evaluate the significance of SPON2 in BA diagnosis and treatment.

METHODS

Peripheral blood samples were obtained from 137 BA pediatric patients (61 mild-to-moderate BA and 76 severe BA) and 59 healthy children. Subject's information, clinical indexes, pulmonary ventilation functions were recorded in the two groups. Peripheral blood mononuclear cells (PBMCs) were isolated from patients' samples. qRT-PCR and ELISA assays were employed to examine the levels of SPON2 and inflammatory cytokines, respectively. Pearson's correlation analysis confirmed the association between SPON2 and inflammatory cytokines. Receiver operating characteristic (ROC) analysis was used to evaluate the potentials of SPON2 in terms of BA detection and discriminating against the severity of BA.

RESULTS

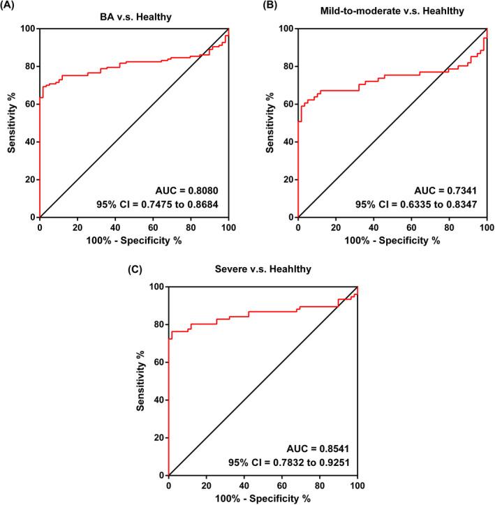
Bioinformatics analysis showed that SPON2, OLFM4, XIST, and TSIX were significantly upregulated, while KDM5D and RPS4Y1 were reduced in BA. GO analysis verified that these six genes were mainly involved in neutrophil degranulation, neutrophil activation involved in immune response, neutrophil activation, and neutrophil-mediated immunity. After isolating PBMCs, we found that SPON2 was remarkably increased in BA pediatric group compared with healthy children, and the relative levels of SPON2 were related to the severity of BA. The receiver operating characteristic (ROC) analysis revealed the high potentials of SPON2 in BA diagnosis (AUC was 0.8080) and severity distinctions (AUCs were 0.7341 and 0.8541, respectively). Also, we found that there were significant differences in fractional exhaled nitric oxide (FeNO), forced expiratory volume in 1 s (FEV1)%, FEV1/ forced vital capacity (FVC)%, immunoglobulin E (IgE), serum eosinophils, and serum neutrophils between mild-to-moderate BA group and severe BA group. Finally, SPON2 was negatively correlated with IL-12 while positively associated with IL-4, IL-13, and IL-17A.

CONCLUSIONS

SPON2 was a viable biomarker for diagnosing and degree of severity in BA, providing more insight into exploring BA and treatment's pathogenesis.

摘要

背景

支气管哮喘(BA)是一种以慢性气道炎症为特征的异质性疾病。Spondin 2(SPON2)据报道与整合素途径、蛋白质代谢和药物诱导的红斑狼疮有关。本研究旨在评估 SPON2 在 BA 诊断和治疗中的意义。

方法

收集 137 例儿童支气管哮喘患者(61 例轻中度支气管哮喘和 76 例重度支气管哮喘)和 59 例健康儿童的外周血样本。记录两组患者的信息、临床指标、肺通气功能。从患者样本中分离外周血单个核细胞(PBMCs)。采用 qRT-PCR 和 ELISA 检测 SPON2 和炎症细胞因子的水平。Pearson 相关分析证实了 SPON2 与炎症细胞因子之间的关联。采用受试者工作特征(ROC)分析评估 SPON2 在 BA 检测和区分 BA 严重程度方面的潜力。

结果

生物信息学分析显示,SPON2、OLFM4、XIST 和 TSIX 显著上调,而 BA 中 KDM5D 和 RPS4Y1 下调。GO 分析验证了这六个基因主要参与中性粒细胞脱颗粒、免疫反应中中性粒细胞的激活、中性粒细胞的激活和中性粒细胞介导的免疫。分离 PBMCs 后,我们发现 BA 患儿组 SPON2 明显升高,且相对水平与 BA 严重程度有关。受试者工作特征(ROC)分析显示 SPON2 具有较高的 BA 诊断潜力(AUC 为 0.8080)和严重程度区分潜力(AUC 分别为 0.7341 和 0.8541)。此外,我们发现轻中度支气管哮喘组和重度支气管哮喘组在呼出气一氧化氮分数(FeNO)、1 秒用力呼气容积(FEV1)%、FEV1/用力肺活量(FVC)%、免疫球蛋白 E(IgE)、血清嗜酸性粒细胞和血清中性粒细胞方面存在显著差异。最后,SPON2 与 IL-12 呈负相关,与 IL-4、IL-13 和 IL-17A 呈正相关。

结论

SPON2 是一种有前途的 BA 诊断和严重程度的生物标志物,为探索 BA 的发病机制和治疗提供了更多的思路。

https://cdn.ncbi.nlm.nih.gov/pmc/blobs/4c5f/8183911/f7c93a6efbd7/JCLA-35-e23764-g005.jpg

文献AI研究员

20分钟写一篇综述,助力文献阅读效率提升50倍。

立即体验

用中文搜PubMed

大模型驱动的PubMed中文搜索引擎

马上搜索

文档翻译

学术文献翻译模型,支持多种主流文档格式。

立即体验