Suppr超能文献

(-)-大马酮酸及其衍生物的全合成及抗炎生物活性。

Total Synthesis and Anti-Inflammatory Bioactivity of (-)-Majusculoic Acid and Its Derivatives.

机构信息

Key Laboratory of Tropical Biological Resources of Ministry of Education, Hainan University, Haikou 570228, China.

Key Laboratory of Marine Biogenetic Resources, Third Institute of Oceanography, Ministry of Natural Resources, 184 Daxue Road, Xiamen 361005, China.

出版信息

Mar Drugs. 2021 May 21;19(6):288. doi: 10.3390/md19060288.

Abstract

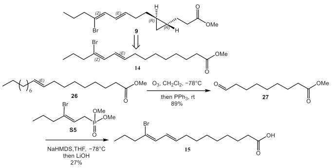
The first total synthesis of marine natural product, (-)-majusculoic acid () and its seven analogs (-), was accomplished in three to ten steps with a yield of 3% to 28%. The strategy featured the application of the conformational controlled establishment of the -cyclopropane and stereochemical controlled bromo-olefination or olefination by Horner-Wadsworth-Emmons (HWE) reaction. The potential anti-inflammatory activity of the eight compounds ( and -) was evaluated by determining the nitric oxide (NO) production in the lipopolysaccharide (LPS)-induced mouse macrophages RAW264.7. (-)-Majusculoic acid (), methyl majusculoate (), and (1,2)-2-((3,5)-6-bromonona-3,5-dien-1-yl)cyclopropane-1-carboxylic acid () showed significant effect with inhibition rates of 33.68%, 35.75%, and 43.01%, respectively. Moreover, they did not show cytotoxicity against RAW264.7 cells, indicating that they might be potential anti-inflammatory agents.

摘要

海洋天然产物(-)-majusculoic 酸()及其七种类似物(-)的首次全合成,以 3%至 28%的收率在三到十个步骤中完成。该策略的特点是应用构象控制建立 -环丙烷和立体化学控制溴-烯烃化或由 Horner-Wadsworth-Emmons (HWE)反应的烯烃化。通过测定脂多糖 (LPS)诱导的小鼠巨噬细胞 RAW264.7 中一氧化氮 (NO)的产生,评估了这八种化合物 ()的潜在抗炎活性。(-)-majusculoic 酸 ()、甲酯 ()和 (1,2)-2-((3,5)-6-溴壬-3,5-二烯-1-基)环丙烷-1-羧酸 ()显示出显著的效果,抑制率分别为 33.68%、35.75%和 43.01%。此外,它们对 RAW264.7 细胞没有细胞毒性,表明它们可能是潜在的抗炎剂。

https://cdn.ncbi.nlm.nih.gov/pmc/blobs/57d3/8223986/ca94b0f9c7f2/marinedrugs-19-00288-g001.jpg

文献AI研究员

20分钟写一篇综述,助力文献阅读效率提升50倍。

立即体验

用中文搜PubMed

大模型驱动的PubMed中文搜索引擎

马上搜索

文档翻译

学术文献翻译模型,支持多种主流文档格式。

立即体验