Suppr超能文献

意大利退休和养老院中的 SARS-CoV-2 疫情:第一波疫情后的新准备评估模型。

SARS-CoV-2 Epidemics in Retirement and Nursing Homes in Italy: A New Preparedness Assessment Model after the First Epidemic Wave.

机构信息

Department of Medical, Surgical and Experimental Sciences, University of Sassari, 07100 Sassari, Italy.

ASSL Sassari, 07100 Sassari, Italy.

出版信息

Int J Environ Res Public Health. 2021 May 26;18(11):5712. doi: 10.3390/ijerph18115712.

Abstract

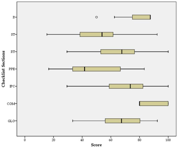
The aim of the study is to evaluate the preparedness of retirement and nursing homes in the city of Sassari at the end of the first wave of the severe acute respiratory syndrome coronavirus 2 epidemic, first by investigating the risk perception of epidemic outbreaks by the facility managers and subsequently by carrying out a field assessment of these facilities. To perform the field assessment, a checklist developed by the CDC (Infection Prevention and Control Assessment Tool for Nursing Homes Preparing for COVID-19) and adapted to the Italian context was used. Fourteen facilities took part in the survey (87.5%). The application of good practices for each survey area was expressed as a percentage with the following median values: restriction policies (87.5%), staff training (53.8%), resident training (67.6%), availability of personal protective equipment (41.7%), infection control practices (73.5%) and communication (80%). Among the facilities, considerable variability was observed in these evaluation fields: only the restriction policies and communication activities were applied uniformly. A discrepancy was found between perceived risk and real danger in the facilities, requiring targeted communication actions. At present, it is necessary to promote a new approach based on the prediction of critical events, thereby providing the means to effectively address them.

摘要

这项研究的目的是评估萨萨里市在严重急性呼吸综合征冠状病毒 2 疫情第一波结束时的退休和养老院的准备情况,首先调查设施管理人员对疫情爆发的风险感知,然后对这些设施进行实地评估。为了进行实地评估,使用了由疾病预防控制中心(为准备应对 COVID-19 的养老院制定的感染预防和控制评估工具)制定并适用于意大利国情的检查表。共有 14 家机构参与了调查(87.5%)。每个调查领域良好实践的应用以百分比表示,中位数分别为:限制政策(87.5%)、员工培训(53.8%)、居民培训(67.6%)、个人防护设备的可用性(41.7%)、感染控制措施(73.5%)和沟通(80%)。在这些评估领域,各机构之间存在相当大的差异:仅限制政策和沟通活动得到统一应用。设施中存在感知风险和实际危险之间的差异,需要有针对性的沟通措施。目前,有必要基于对关键事件的预测,采用新的方法,从而提供有效应对这些事件的手段。

https://cdn.ncbi.nlm.nih.gov/pmc/blobs/5c42/8199425/f0cfe5567884/ijerph-18-05712-g001.jpg

文献AI研究员

20分钟写一篇综述,助力文献阅读效率提升50倍。

立即体验

用中文搜PubMed

大模型驱动的PubMed中文搜索引擎

马上搜索

文档翻译

学术文献翻译模型,支持多种主流文档格式。

立即体验