Suppr超能文献

在一项初步研究中,婴儿肠道微生物组的组成与非社交性恐惧行为有关。

Infant gut microbiome composition is associated with non-social fear behavior in a pilot study.

机构信息

Frank Porter Graham Child Development Institute, University of North Carolina, Chapel Hill, NC, USA.

Department of Psychiatry, University of North Carolina, Chapel Hill, NC, USA.

出版信息

Nat Commun. 2021 Jun 2;12(1):3294. doi: 10.1038/s41467-021-23281-y.

Abstract

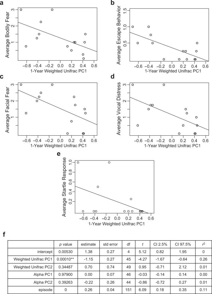
Experimental manipulation of gut microbes in animal models alters fear behavior and relevant neurocircuitry. In humans, the first year of life is a key period for brain development, the emergence of fearfulness, and the establishment of the gut microbiome. Variation in the infant gut microbiome has previously been linked to cognitive development, but its relationship with fear behavior and neurocircuitry is unknown. In this pilot study of 34 infants, we find that 1-year gut microbiome composition (Weighted Unifrac; lower abundance of Bacteroides, increased abundance of Veillonella, Dialister, and Clostridiales) is significantly associated with increased fear behavior during a non-social fear paradigm. Infants with increased richness and reduced evenness of the 1-month microbiome also display increased non-social fear. This study indicates associations of the human infant gut microbiome with fear behavior and possible relationships with fear-related brain structures on the basis of a small cohort. As such, it represents an important step in understanding the role of the gut microbiome in the development of human fear behaviors, but requires further validation with a larger number of participants.

摘要

在动物模型中对肠道微生物进行实验性操作会改变恐惧行为和相关的神经回路。在人类中,生命的第一年是大脑发育、出现恐惧和建立肠道微生物组的关键时期。婴儿肠道微生物组的变异先前与认知发展有关,但它与恐惧行为和神经回路的关系尚不清楚。在这项对 34 名婴儿的初步研究中,我们发现,1 岁时的肠道微生物组组成(加权 UniFrac;拟杆菌的丰度降低,韦荣球菌、 Dialister 和梭菌的丰度增加)与非社交恐惧范式中恐惧行为的增加显著相关。1 个月时微生物组丰富度增加和均匀度降低的婴儿也表现出非社交恐惧增加。这项研究基于一个小队列,表明人类婴儿肠道微生物组与恐惧行为相关,并可能与恐惧相关的大脑结构相关。因此,它代表了理解肠道微生物组在人类恐惧行为发展中的作用的重要一步,但需要更多参与者的进一步验证。

https://cdn.ncbi.nlm.nih.gov/pmc/blobs/cb98/8172562/0ea123b538a3/41467_2021_23281_Fig1_HTML.jpg

文献AI研究员

20分钟写一篇综述,助力文献阅读效率提升50倍。

立即体验

用中文搜PubMed

大模型驱动的PubMed中文搜索引擎

马上搜索

文档翻译

学术文献翻译模型,支持多种主流文档格式。

立即体验