Suppr超能文献

甲基化作为人类脂肪细胞新发胰岛素抵抗的首个表观遗传修饰。

Hypermethylation as the First Epigenetic Modification in Newly Onset Insulin Resistance in Human Adipocytes.

机构信息

Department of Forensic Medicine, Wroclaw Medical University, Sklodowskiej-Curie 52, 50-369 Wroclaw, Poland.

Department of Molecular Techniques, Wroclaw Medical University, Sklodowskiej-Curie 52, 50-369 Wroclaw, Poland.

出版信息

Genes (Basel). 2021 Jun 9;12(6):889. doi: 10.3390/genes12060889.

Abstract

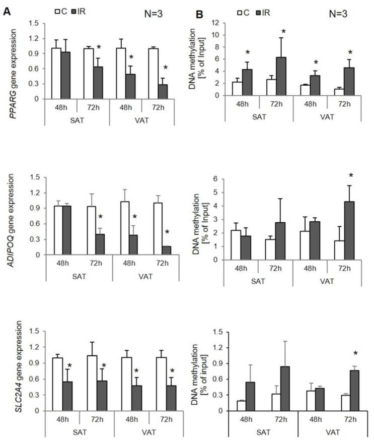
Insulin acts by binding with a specific receptor called an insulin receptor (INSR), ending up with glucose transporter activation and glucose uptake. Insulin resistance (IR) is a state when the physiological amount of insulin is not sufficient to evoke proper action, i.e., glucose uptake. Epigenetic modifications associated with obesity and IR are some of the main mechanisms leading to IR pathogenesis. The mesenchymal stem cells of adipose tissue (subcutaneous (SAT) and visceral (VAT)) were collected during abdominal surgery. IR was induced ex vivo by palmitic acid. DNA methylation was determined at a global and site-specific level. We found higher global DNA methylation in IR adipocytes after 72 h following IR induction. Furthermore, numerous genes regulating insulin action (, , ) were hypermethylated in IR adipocytes; the earliest changes in site-specific DNA methylation have been detected for . Epigenetic changes appear to be mediated through DNMT1. DNA methylation is an important component of IR pathogenesis; the and its epigenetic modification appear to be the very first epigenetic modification in newly onset IR and are probably of the greatest importance.

摘要

胰岛素通过与一种称为胰岛素受体(INSR)的特定受体结合而发挥作用,最终导致葡萄糖转运体的激活和葡萄糖摄取。胰岛素抵抗(IR)是指生理量的胰岛素不足以引起适当作用的状态,即葡萄糖摄取。与肥胖和 IR 相关的表观遗传修饰是导致 IR 发病机制的主要机制之一。在腹部手术期间收集了脂肪组织(皮下(SAT)和内脏(VAT))的间充质干细胞。通过棕榈酸在体外诱导 IR。在诱导 IR 后 72 小时,我们发现 IR 脂肪细胞中的全基因组 DNA 甲基化水平更高。此外,在 IR 脂肪细胞中,许多调节胰岛素作用的基因(、、)发生了超甲基化;在特定部位 DNA 甲基化的最早变化已经检测到 。表观遗传变化似乎是通过 DNMT1 介导的。DNA 甲基化是 IR 发病机制的重要组成部分;和它的表观遗传修饰似乎是新发生的 IR 的第一个表观遗传修饰,可能具有最重要的意义。

https://cdn.ncbi.nlm.nih.gov/pmc/blobs/fc7d/8228025/b70fb2dff481/genes-12-00889-g001.jpg

文献AI研究员

20分钟写一篇综述,助力文献阅读效率提升50倍。

立即体验

用中文搜PubMed

大模型驱动的PubMed中文搜索引擎

马上搜索

文档翻译

学术文献翻译模型,支持多种主流文档格式。

立即体验