Suppr超能文献

HPV16 型的突变谱、糖基化位点分布和密码子使用偏性

Mutation Profiles, Glycosylation Site Distribution and Codon Usage Bias of Human Papillomavirus Type 16.

机构信息

School of Biology and Biological Engineering, South China University of Technology, Guangzhou 510000, China.

BGI-Shenzhen, Shenzhen 518083, China.

出版信息

Viruses. 2021 Jun 30;13(7):1281. doi: 10.3390/v13071281.

Abstract

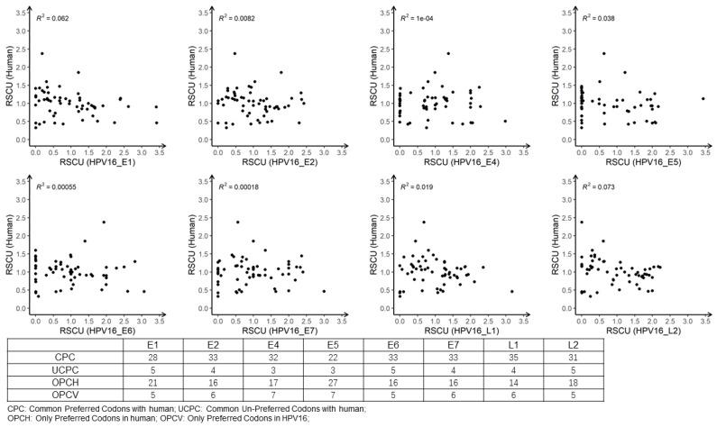
Human papillomavirus type 16 (HPV16) is the most prevalent HPV type causing cervical cancers. Herein, using 1597 full genomes, we systemically investigated the mutation profiles, surface protein glycosylation sites and the codon usage bias (CUB) of HPV16 from different lineages and sublineages. Multiple lineage- or sublineage-conserved mutation sites were identified. Glycosylation analysis showed that HPV16 lineage D contained the highest number of different glycosylation sites from lineage A in both L1 and L2 capsid proteins, which might lead to their antigenic distances between the two lineages. CUB analysis showed that the HPV16 open reading frames (ORFs) preferred codons ending with A/T. The CUB of HPV16 ORFs was mainly affected by natural selection except for E1, E5 and L2. HPV16 only shared some of the preferred codons with humans, which might help reduce competition in translational resources. These findings increase our understanding of the heterogeneity between HPV16 lineages and sublineages, and the adaptation mechanism of HPV in human cells. In summary, this study might facilitate HPV classification and improve vaccine development and application.

摘要

人乳头瘤病毒 16 型(HPV16)是导致宫颈癌最常见的 HPV 类型。在此,我们使用 1597 个全长基因组,系统地研究了来自不同谱系和亚谱系的 HPV16 的突变谱、表面蛋白糖基化位点和密码子使用偏性(CUB)。鉴定出多个谱系或亚谱系保守的突变位点。糖基化分析表明,HPV16 谱系 D 在 L1 和 L2 衣壳蛋白中包含比谱系 A 更多的不同糖基化位点,这可能导致它们在两个谱系之间具有抗原距离。CUB 分析表明,HPV16 的开放阅读框(ORF)偏爱以 A/T 结尾的密码子。除了 E1、E5 和 L2 之外,HPV16 ORFs 的 CUB 主要受自然选择的影响。HPV16 只与人类共享一些优选密码子,这可能有助于减少翻译资源中的竞争。这些发现增加了我们对 HPV16 谱系和亚谱系之间异质性以及 HPV 在人类细胞中的适应机制的理解。总之,本研究可能有助于 HPV 的分类,并改进疫苗的开发和应用。

https://cdn.ncbi.nlm.nih.gov/pmc/blobs/99ae/8310365/7f3a4453d242/viruses-13-01281-g001.jpg

文献AI研究员

20分钟写一篇综述,助力文献阅读效率提升50倍。

立即体验

用中文搜PubMed

大模型驱动的PubMed中文搜索引擎

马上搜索

文档翻译

学术文献翻译模型,支持多种主流文档格式。

立即体验