Suppr超能文献

三阴性乳腺癌样本中与淋巴结转移相关的拷贝数变异。

Copy number variation in triple negative breast cancer samples associated with lymph node metastasis.

机构信息

School of Biomedical Sciences and Pharmacy, College of Health, Medicine and Wellbeing, University of Newcastle, Callaghan, NSW, Australia; Hunter Medical Research Institute, New Lambton Heights, NSW, Australia.

School of Biomedical Sciences and Pharmacy, College of Health, Medicine and Wellbeing, University of Newcastle, Callaghan, NSW, Australia; Translational Research Institute, Henan Provincial People's Hospital, Academy of Medical Science, Zhengzhou University, Zhengzhou, China.

出版信息

Neoplasia. 2021 Aug;23(8):743-753. doi: 10.1016/j.neo.2021.05.016. Epub 2021 Jul 2.

Abstract

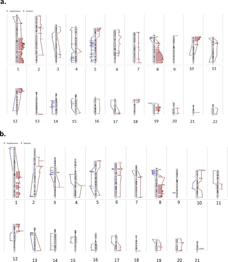
Triple negative breast cancer (TNBC) is a highly metastatic and aggressive subtype of breast cancer and cases presenting with lymph node involvement have worse outcomes. This study aimed to determine the regions of copy number variation (CNV) associated with lymph node metastasis in TNBC patients. CNV analyses were performed in a study cohort of 23 invasive ductal carcinomas (IDCs), 12 lymph node metastases (LNmets), and 7 normal adjacent tissues (NATs); as well as in an independent cohort containing 70 TNBC IDCs and the same 7 NATs. CNV-associated genes were analyzed using GO-enrichment and Pathway analysis. The prognostic role for genes showing CNV-based changes in messenger RNA expression was determined using the Kaplan-Meier plotter database. For the IDCs, there were a number of variations that were common in both the study and independent cohorts in the amplified regions of 1q, 8q, 19 (p and q), 2p, 5p and the deleted regions in 8p followed by 5q, and 19p. The most frequently amplified regions in the LNmets of the study cohort were 4q28.3, 2p, 3q24, 1q21.2, 10p, 12p11.1, 8q, 20p11.22-20p11.21, 21q22.13, 6p22.1 and the most frequently deleted regions were in 1p36.23, 4q21.1 and 5q. A total of 686 (441 amplified and 245 deleted) genes were associated with LNmets. The LNmet-associated genes were highly enriched for "regulation of complement activation," "regulation of protein activation cascade," "regulation of humoral immune response," "oxytocin signalling pathway," and "TRAIL binding" pathways. Moreover, 6/686 LNmet-associated genes showed CNV-based changes in their mRNA expression of which, high expression of ASPM and KIF14 was significantly associated with worse relapse-free survival. This study has identified several CNV regions in TNBC that could play a major role in metastasis to the lymph node.

摘要

三阴性乳腺癌(TNBC)是一种高度转移性和侵袭性的乳腺癌亚型,出现淋巴结受累的病例预后更差。本研究旨在确定与 TNBC 患者淋巴结转移相关的拷贝数变异(CNV)区域。在一个包含 23 例浸润性导管癌(IDC)、12 例淋巴结转移(LNmets)和 7 例正常相邻组织(NAT)的研究队列中以及一个包含 70 例 TNBC IDC 和相同 7 例 NAT 的独立队列中进行了 CNV 分析。使用 GO 富集和途径分析对与 CNV 相关的基因进行分析。使用 Kaplan-Meier 绘谱器数据库确定显示信使 RNA 表达基于 CNV 变化的基因的预后作用。对于 IDC,在研究队列和独立队列中,在 1q、8q、19(p 和 q)、2p、5p 的扩增区域以及 8p 后 followed by 5q 和 19p 的缺失区域中,有许多变异是共同存在的。在研究队列的 LNmets 中,最常扩增的区域是 4q28.3、2p、3q24、1q21.2、10p、12p11.1、8q、20p11.22-20p11.21、21q22.13、6p22.1 和最常缺失的区域是 1p36.23、4q21.1 和 5q。共有 686 个(441 个扩增和 245 个缺失)基因与 LNmets 相关。与 LNmets 相关的基因在“补体激活调节”、“蛋白激活级联调节”、“体液免疫反应调节”、“催产素信号通路”和“TRAIL 结合”途径中高度富集。此外,6/686 个与 LNmets 相关的基因在其信使 RNA 表达中显示出基于 CNV 的变化,其中 ASPM 和 KIF14 的高表达与无复发生存率显著相关。本研究确定了 TNBC 中的几个 CNV 区域,这些区域可能在淋巴结转移中起主要作用。

https://cdn.ncbi.nlm.nih.gov/pmc/blobs/267d/8259224/b6963462a960/gr1.jpg

文献AI研究员

20分钟写一篇综述,助力文献阅读效率提升50倍。

立即体验

用中文搜PubMed

大模型驱动的PubMed中文搜索引擎

马上搜索

文档翻译

学术文献翻译模型,支持多种主流文档格式。

立即体验