Suppr超能文献

社会经济地位与瑞士从检测到死亡的 COVID-19 护理级联:基于人群的分析。

Socioeconomic position and the COVID-19 care cascade from testing to mortality in Switzerland: a population-based analysis.

机构信息

Institute of Social and Preventive Medicine, University of Bern, Bern, Switzerland; Federal Office of Public Health, Liebefeld, Switzerland.

Institute of Social and Preventive Medicine, University of Bern, Bern, Switzerland.

出版信息

Lancet Public Health. 2021 Sep;6(9):e683-e691. doi: 10.1016/S2468-2667(21)00160-2. Epub 2021 Jul 10.

Abstract

BACKGROUND

The inverse care law states that disadvantaged populations need more health care than advantaged populations but receive less. Gaps in COVID-19-related health care and infection control are not well understood. We aimed to examine inequalities in health in the care cascade from testing for SARS-CoV-2 to COVID-19-related hospitalisation, intensive care unit (ICU) admission, and death in Switzerland, a wealthy country strongly affected by the pandemic.

METHODS

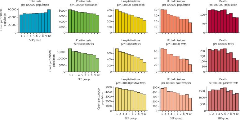
We analysed surveillance data reported to the Swiss Federal Office of Public Health from March 1, 2020, to April 16, 2021, and 2018 population data. We geocoded residential addresses of notifications to identify the Swiss neighbourhood index of socioeconomic position (Swiss-SEP). The index describes 1·27 million small neighbourhoods of approximately 50 households each on the basis of rent per m, education and occupation of household heads, and crowding. We used negative binomial regression models to calculate incidence rate ratios (IRRs) with 95% credible intervals (CrIs) of the association between ten groups of the Swiss-SEP index defined by deciles (1=lowest, 10=highest) and outcomes. Models were adjusted for sex, age, canton, and wave of the epidemic (before or after June 8, 2020). We used three different denominators: the general population, the number of tests, and the number of positive tests.

FINDINGS

Analyses were based on 4 129 636 tests, 609 782 positive tests, 26 143 hospitalisations, 2432 ICU admissions, 9383 deaths, and 8 221 406 residents. Comparing the highest with the lowest Swiss-SEP group and using the general population as the denominator, more tests were done among people living in neighbourhoods of highest SEP compared with lowest SEP (adjusted IRR 1·18 [95% CrI 1·02-1·36]). Among tested people, test positivity was lower (0·75 [0·69-0·81]) in neighbourhoods of highest SEP than of lowest SEP. Among people testing positive, the adjusted IRR was 0·68 (0·62-0·74) for hospitalisation, was 0·54 (0·43-0·70) for ICU admission, and 0·86 (0·76-0·99) for death. The associations between neighbourhood SEP and outcomes were stronger in younger age groups and we found heterogeneity between areas.

INTERPRETATION

The inverse care law and socioeconomic inequalities were evident in Switzerland during the COVID-19 epidemic. People living in neighbourhoods of low SEP were less likely to be tested but more likely to test positive, be admitted to hospital, or die, compared with those in areas of high SEP. It is essential to continue to monitor testing for SARS-CoV-2, access and uptake of COVID-19 vaccination and outcomes of COVID-19. Governments and health-care systems should address this pandemic of inequality by taking measures to reduce health inequalities in response to the SARS-CoV-2 pandemic.

FUNDING

Swiss Federal Office of Public Health, Swiss National Science Foundation, EU Horizon 2020, Branco Weiss Foundation.

摘要

背景

反向医疗保健定律指出,处于不利地位的人群比处于有利地位的人群需要更多的医疗保健,但得到的却更少。我们尚不清楚 COVID-19 相关的医疗保健和感染控制方面的差距。我们旨在研究瑞士在从 SARS-CoV-2 检测到 COVID-19 相关住院、重症监护病房(ICU)入院和死亡的护理级联中健康状况的不平等,瑞士是一个深受大流行影响的富裕国家。

方法

我们分析了 2020 年 3 月 1 日至 2021 年 4 月 16 日向瑞士联邦公共卫生办公室报告的监测数据和 2018 年的人口数据。我们对通知的居住地址进行地理编码,以确定瑞士邻里社会经济地位指数(Swiss-SEP)。该指数根据租金、家庭户主的教育和职业以及拥挤程度,对大约 50 户家庭的 127 万个小邻里进行描述。我们使用负二项回归模型,以十分位数(1=最低,10=最高)定义的 Swiss-SEP 指数的十个组为自变量,计算结局的关联的发病率比值(IRR)及其 95%可信区间(CrI)。模型调整了性别、年龄、州和疫情波次(6 月 8 日之前或之后)。我们使用了三个不同的分母:总人口、检测数量和阳性检测数量。

结果

分析基于 4129636 次检测、609782 次阳性检测、26143 次住院、2432 次 ICU 入院、9383 例死亡和 8221406 名居民。与最低的 Swiss-SEP 组相比,比较最高和最低 Swiss-SEP 组,并使用总人口作为分母,生活在最高 SEP 邻里的人群接受的检测更多(调整后的 IRR 为 1.18 [95%CrI 1.02-1.36])。在接受检测的人群中,最高 SEP 邻里的检测阳性率较低(0.75 [0.69-0.81])。在检测呈阳性的人群中,调整后的 IRR 为 0.68(0.62-0.74)用于住院、0.54(0.43-0.70)用于 ICU 入院和 0.86(0.76-0.99)用于死亡。年龄较小的人群中,邻里 SEP 与结局之间的关联更强,而且我们发现不同地区之间存在异质性。

解释

在 COVID-19 流行期间,反向医疗保健定律和社会经济不平等在瑞士显而易见。与高 SEP 地区相比,处于低 SEP 邻里的人群接受检测的可能性较低,但检测呈阳性、住院或死亡的可能性较高。继续监测 SARS-CoV-2 的检测、COVID-19 疫苗的接种和 COVID-19 的结局至关重要。政府和医疗保健系统应通过采取措施减少 COVID-19 大流行期间的健康不平等来应对这一不平等大流行。

资金

瑞士联邦公共卫生办公室、瑞士国家科学基金会、欧盟地平线 2020 计划、布兰科·魏斯基金会。

https://cdn.ncbi.nlm.nih.gov/pmc/blobs/f4a5/8390383/21756a637bf8/gr1.jpg

文献AI研究员

20分钟写一篇综述,助力文献阅读效率提升50倍。

立即体验

用中文搜PubMed

大模型驱动的PubMed中文搜索引擎

马上搜索

文档翻译

学术文献翻译模型,支持多种主流文档格式。

立即体验