Suppr超能文献

由阴离子型氮杂环卡宾支撑的异双金属硬币金属-钌配合物

Heterobimetallic Coinage Metal-Ruthenium Complexes Supported by Anionic N-Heterocyclic Carbenes.

作者信息

Planer Sebastian, Frosch Jenni, Koneczny Marvin, Trzybiński Damian, Woźniak Krzysztof, Grela Karol, Tamm Matthias

机构信息

Biological and Chemical Research Centre, Faculty of Chemistry, University of Warsaw, Żwirki i Wigury 101, 02-089, Warsaw, Poland.

Institut für Anorganische und Analytische Chemie, Technische Universität Braunschweig, Hagenring 30, 38106, Braunschweig, Germany.

出版信息

Chemistry. 2021 Nov 2;27(61):15217-15225. doi: 10.1002/chem.202102553. Epub 2021 Sep 3.

Abstract

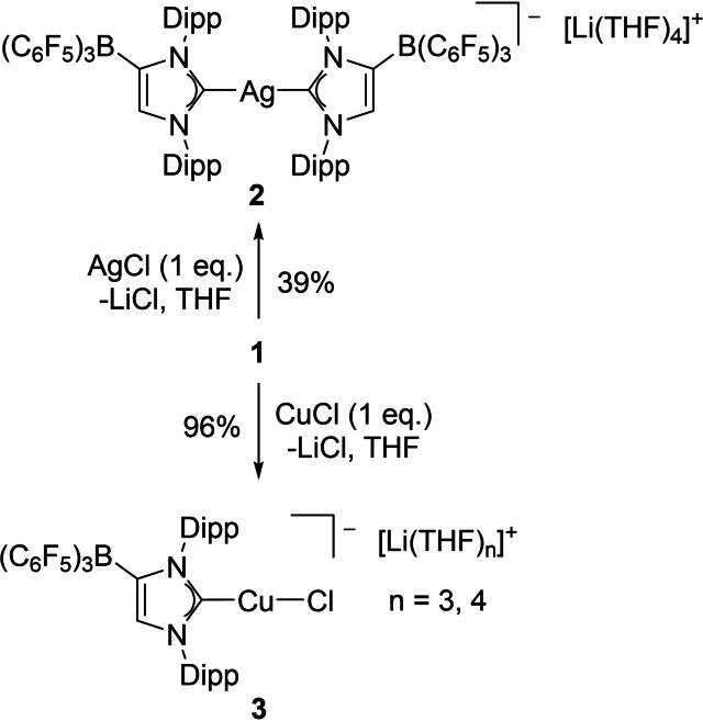
The lithium complexes [(WCA-NHC)Li(toluene)] of anionic N-heterocyclic carbenes with a weakly coordinating borate moiety (WCA-NHC, WCA=B(C F ) , NHC=IDipp=1,3-bis(2,6-diisopropylphenyl)imidazolin-2-ylidene) were used for the preparation of silver(I) or copper(I) WCA-NHC complexes. While the reactions in THF with AgCl or CuCl afforded anionic mono- and dicarbene complexes with solvated lithium counterions [Li(THF) ] (n=3, 4), the reactions in toluene proceeded with elimination of LiCl and formation of the neutral phosphine and arene complexes [(WCA-NHC)M(PPh )] and [(WCA-NHC)M(η -toluene)] (M=Ag, Cu). The latter were used for the preparation of chlorido- and iodido-bridged heterobimetallic Ag/Ru and Cu/Ru complexes [(WCA-NHC)M(μ-X) Ru(PPh )(η -p-cymene)] (M=Ag, Cu, X=Cl; M=Ag, X=I). Surprisingly, these complexes resisted the elimination of CuCl, AgCl, or AgI, precluding WCA-NHC transmetalation.

摘要

含弱配位硼酸根部分的阴离子型氮杂环卡宾的锂配合物[(WCA-NHC)Li(甲苯)](WCA-NHC中,WCA = B(C₆F₅)₄,NHC = IDipp = 1,3-双(2,6-二异丙基苯基)咪唑啉-2-亚基)用于制备银(I)或铜(I)的WCA-NHC配合物。虽然在四氢呋喃中与AgCl或CuCl的反应得到了带有溶剂化锂抗衡离子[Li(THF)ₙ](n = 3, 4)的阴离子型单卡宾和双卡宾配合物,但在甲苯中的反应则伴随着LiCl的消除,并形成中性膦和芳烃配合物[(WCA-NHC)M(PPh₃)]和[(WCA-NHC)M(η⁶-甲苯)](M = Ag, Cu)。后者用于制备氯桥连和碘桥连的异双金属Ag/Ru和Cu/Ru配合物[(WCA-NHC)M(μ-X)Ru(PPh₃)(η⁶-p-异丙基苯)](M = Ag, Cu, X = Cl;M = Ag, X = I)。令人惊讶的是,这些配合物能阻止CuCl、AgCl或AgI的消除,从而排除了WCA-NHC的金属转移反应。

https://cdn.ncbi.nlm.nih.gov/pmc/blobs/ebd4/8597159/a0e50e621f4d/CHEM-27-15218-g001.jpg

相似文献

1
Heterobimetallic Coinage Metal-Ruthenium Complexes Supported by Anionic N-Heterocyclic Carbenes.
Chemistry. 2021 Nov 2;27(61):15217-15225. doi: 10.1002/chem.202102553. Epub 2021 Sep 3.
2
Halogen Complexes of Anionic N-Heterocyclic Carbenes.
Chemistry. 2021 Mar 1;27(13):4349-4363. doi: 10.1002/chem.202004418. Epub 2020 Dec 21.
3
Rhodium and Iridium Complexes of Anionic Thione and Selone Ligands Derived from Anionic N-Heterocyclic Carbenes.
Chemistry. 2022 Jan 19;28(4):e202104139. doi: 10.1002/chem.202104139. Epub 2021 Dec 22.
4
Group 13 Element Trihalide Complexes of Anionic N-Heterocyclic Carbenes.
Chem Asian J. 2020 Mar 16;15(6):845-851. doi: 10.1002/asia.201901774. Epub 2020 Feb 20.
5
Stabilization of a bismuth-bismuth double bond by anionic N-heterocyclic carbenes.
Dalton Trans. 2021 Feb 2;50(4):1202-1205. doi: 10.1039/d1dt00140j.
6
Chalcogen complexes of anionic N-heterocyclic carbenes.
Dalton Trans. 2020 Oct 6;49(38):13207-13217. doi: 10.1039/d0dt02392b.
7
London Dispersion Interactions in Pnictogen Cations [ECl ] and [E=E] (E=P, As, Sb) Supported by Anionic N-Heterocyclic Carbenes.
Chemistry. 2018 Dec 17;24(71):18922-18932. doi: 10.1002/chem.201804714. Epub 2018 Dec 11.
8
Heteroleptic diphosphenes and arsaphosphenes bearing neutral and anionic N-heterocyclic carbenes.
Chem Commun (Camb). 2019 Sep 16;55(72):10709-10712. doi: 10.1039/c9cc05739k. Epub 2019 Aug 20.
9
10

引用本文的文献

1
Photoactive Neutral Three-Coordinate Cu(I) Complexes of Anionic N‑Heterocyclic Carbenes.
JACS Au. 2025 Jun 9;5(6):2792-2801. doi: 10.1021/jacsau.5c00357. eCollection 2025 Jun 23.
2
Anionic Olefin Metathesis Catalysts Enable Modification of Unprotected Biomolecules in Water.
ACS Catal. 2024 Jul 11;14(15):11147-11152. doi: 10.1021/acscatal.4c02811. eCollection 2024 Aug 2.
3
N-Heterocyclic Carbenes Carrying Weakly Coordinating Anions.
Chemistry. 2022 Jun 15;28(34):e202200530. doi: 10.1002/chem.202200530. Epub 2022 Apr 27.
4
Rhodium and Iridium Complexes of Anionic Thione and Selone Ligands Derived from Anionic N-Heterocyclic Carbenes.
Chemistry. 2022 Jan 19;28(4):e202104139. doi: 10.1002/chem.202104139. Epub 2021 Dec 22.

本文引用的文献

1
N-Heterocyclic silylenes in coinage metal chemistry: an account of recent advances.
Dalton Trans. 2021 Aug 21;50(31):10674-10688. doi: 10.1039/d1dt01955d. Epub 2021 Jul 8.
2
3
Stabilization of a bismuth-bismuth double bond by anionic N-heterocyclic carbenes.
Dalton Trans. 2021 Feb 2;50(4):1202-1205. doi: 10.1039/d1dt00140j.
4
Halogen Complexes of Anionic N-Heterocyclic Carbenes.
Chemistry. 2021 Mar 1;27(13):4349-4363. doi: 10.1002/chem.202004418. Epub 2020 Dec 21.
5
Chalcogen complexes of anionic N-heterocyclic carbenes.
Dalton Trans. 2020 Oct 6;49(38):13207-13217. doi: 10.1039/d0dt02392b.
6
Group 13 Element Trihalide Complexes of Anionic N-Heterocyclic Carbenes.
Chem Asian J. 2020 Mar 16;15(6):845-851. doi: 10.1002/asia.201901774. Epub 2020 Feb 20.
9
Heteroleptic diphosphenes and arsaphosphenes bearing neutral and anionic N-heterocyclic carbenes.
Chem Commun (Camb). 2019 Sep 16;55(72):10709-10712. doi: 10.1039/c9cc05739k. Epub 2019 Aug 20.
10
London Dispersion Interactions in Pnictogen Cations [ECl ] and [E=E] (E=P, As, Sb) Supported by Anionic N-Heterocyclic Carbenes.
Chemistry. 2018 Dec 17;24(71):18922-18932. doi: 10.1002/chem.201804714. Epub 2018 Dec 11.

文献AI研究员

20分钟写一篇综述,助力文献阅读效率提升50倍。

立即体验

用中文搜PubMed

大模型驱动的PubMed中文搜索引擎

马上搜索

文档翻译

学术文献翻译模型,支持多种主流文档格式。

立即体验