Suppr超能文献

研究用胺化氧化石墨烯制备的聚合物膜的抗菌活性。

Investigating the Antibacterial Activity of Polymeric Membranes Fabricated with Aminated Graphene Oxide.

作者信息

Zahid Muhammad, Akram Saba, Rashid Anum, Rehan Zulfiqar Ahmad, Javed Talha, Shabbir Rubab, Hessien Mahmoud M, El-Sayed Mahmoud E

机构信息

Department of Chemistry, University of Agriculture, Faisalabad 38000, Pakistan.

Department of Materials, National Textile University, Faisalabad 37610, Pakistan.

出版信息

Membranes (Basel). 2021 Jul 7;11(7):510. doi: 10.3390/membranes11070510.

Abstract

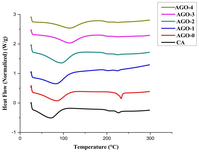
A novel, functionalized graphene oxide-based cellulose acetate membrane was fabricated using the phase inversion method to improve the membrane characteristics and performance. We studied the effect of aminated graphene oxide (NH-GO) composite on the CA membrane characteristics and performance in terms of membrane chemistry, hydrophilicity, thermal and mechanical stability, permeation flux, and antibacterial activity. The results of contact angle and water flux indicate the improved hydrophilic behavior of composite membranes in comparison to that of the pure CA membrane. The AGO-3 membrane showed the highest water flux of about 153 Lmh. The addition of hydrophilic AGO additive in CA membranes enhanced the antibacterial activity of AGO-CA membranes, and the thermal stability of the resulting membrane also improved since it increases the Tg value in comparison to that of a pristine CA membrane. The aminated graphene oxide (NH-GO) was, therefore, found to be a promising additive for the fabrication of composite membranes with potent applications in wastewater treatment.

摘要

采用相转化法制备了一种新型的、功能化的氧化石墨烯基醋酸纤维素膜,以改善膜的特性和性能。我们从膜化学、亲水性、热稳定性和机械稳定性、渗透通量和抗菌活性等方面研究了胺化氧化石墨烯(NH-GO)复合材料对醋酸纤维素(CA)膜特性和性能的影响。接触角和水通量的结果表明,与纯CA膜相比,复合膜的亲水性得到了改善。AGO-3膜的水通量最高,约为153 Lmh。在CA膜中添加亲水性AGO添加剂增强了AGO-CA膜的抗菌活性,并且与原始CA膜相比,所得膜的热稳定性也有所提高,因为它提高了玻璃化转变温度(Tg)值。因此,胺化氧化石墨烯(NH-GO)被认为是一种有前途的添加剂,可用于制备在废水处理中有潜在应用的复合膜。

https://cdn.ncbi.nlm.nih.gov/pmc/blobs/1276/8306018/f8fedf869b78/membranes-11-00510-g001.jpg

文献AI研究员

20分钟写一篇综述,助力文献阅读效率提升50倍。

立即体验

用中文搜PubMed

大模型驱动的PubMed中文搜索引擎

马上搜索

文档翻译

学术文献翻译模型,支持多种主流文档格式。

立即体验