Suppr超能文献

通过整合分子对接、分子动力学模拟和量子力学计算,阐明 ER-α 激动剂和拮抗剂的动态结合模式。

Elucidation of Agonist and Antagonist Dynamic Binding Patterns in ER-α by Integration of Molecular Docking, Molecular Dynamics Simulations and Quantum Mechanical Calculations.

机构信息

Division of Bioinformatics and Biostatistics, National Center for Toxicological Research, U.S. Food and Drug Administration, 3900 NCTR Road, Jefferson, AR 72079, USA.

出版信息

Int J Mol Sci. 2021 Aug 29;22(17):9371. doi: 10.3390/ijms22179371.

Abstract

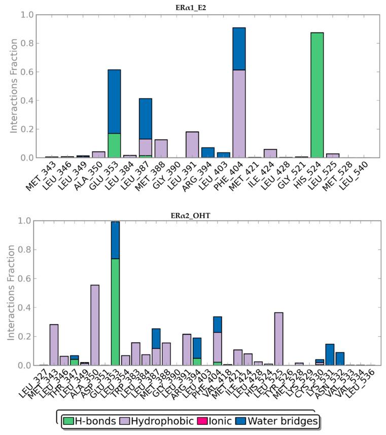
Estrogen receptor alpha (ERα) is a ligand-dependent transcriptional factor in the nuclear receptor superfamily. Many structures of ERα bound with agonists and antagonists have been determined. However, the dynamic binding patterns of agonists and antagonists in the binding site of ERα remains unclear. Therefore, we performed molecular docking, molecular dynamics (MD) simulations, and quantum mechanical calculations to elucidate agonist and antagonist dynamic binding patterns in ERα. 17β-estradiol (E2) and 4-hydroxytamoxifen (OHT) were docked in the ligand binding pockets of the agonist and antagonist bound ERα. The best complex conformations from molecular docking were subjected to 100 nanosecond MD simulations. Hierarchical clustering was conducted to group the structures in the trajectory from MD simulations. The representative structure from each cluster was selected to calculate the binding interaction energy value for elucidation of the dynamic binding patterns of agonists and antagonists in the binding site of ERα. The binding interaction energy analysis revealed that OHT binds ERα more tightly in the antagonist conformer, while E2 prefers the agonist conformer. The results may help identify ERα antagonists as drug candidates and facilitate risk assessment of chemicals through ER-mediated responses.

摘要

雌激素受体 α(ERα)是核受体超家族中配体依赖性转录因子。已经确定了许多与激动剂和拮抗剂结合的 ERα 结构。然而,ERα 结合位点中激动剂和拮抗剂的动态结合模式仍不清楚。因此,我们进行了分子对接、分子动力学(MD)模拟和量子力学计算,以阐明 ERα 中激动剂和拮抗剂的动态结合模式。将 17β-雌二醇(E2)和 4-羟基他莫昔芬(OHT)对接在激动剂和拮抗剂结合的 ERα 的配体结合口袋中。从分子对接中选择最佳的复合物构象进行 100 纳秒 MD 模拟。对 MD 模拟轨迹中的结构进行层次聚类。从每个簇中选择代表性结构来计算结合相互作用能值,以阐明 ERα 结合位点中激动剂和拮抗剂的动态结合模式。结合相互作用能分析表明,OHT 在拮抗剂构象中与 ERα 结合更紧密,而 E2 则更喜欢激动剂构象。这些结果可能有助于鉴定 ERα 拮抗剂作为药物候选物,并通过 ER 介导的反应促进化学品的风险评估。

https://cdn.ncbi.nlm.nih.gov/pmc/blobs/f11c/8431471/388dec7f416c/ijms-22-09371-g001.jpg

文献AI研究员

20分钟写一篇综述,助力文献阅读效率提升50倍。

立即体验

用中文搜PubMed

大模型驱动的PubMed中文搜索引擎

马上搜索

文档翻译

学术文献翻译模型,支持多种主流文档格式。

立即体验