Suppr超能文献

急性中风患者的细胞因子、脑蛋白和生长因子:一项初步研究。

Cytokines, brain proteins, and growth factors in acute stroke patients: A pilot study.

作者信息

Zafar Atif, Farooqui Mudassir, Ikram Asad, Suriya Sajid, Kempuraj Duraisamy, Khan Mohammad, Tasneem Nudrat, Qaryouti Dania, Quadri Syed, Adams Harold P, Ortega-Gutierrez Santiago, Leira Enrique, Zaheer Asgar

机构信息

Department of Neurology, University of Toronto, Toronto, Canada.

Department of Neurology, University of Iowa, Iowa City, Iowa.

出版信息

Surg Neurol Int. 2021 Jul 27;12:366. doi: 10.25259/SNI_569_2021. eCollection 2021.

Abstract

BACKGROUND

Immunomodulation and cell signaling involve several cytokines, proteins, and other mediators released in response to the trauma, inflammation, or other insults to the central nervous system. This pilot study is part of the registry designed to evaluate the temporal trends among these molecules after an acute ischemic stroke (AIS) in patients.

METHODS

Twelve AIS patients were enrolled within 24 hours of the symptoms onset. Two sets of plasma samples were collected: First at admission and second at 24 hours after admission. Cytokines/chemokines and other inflammatory molecules were measured using multiplex assay kit.

RESULTS

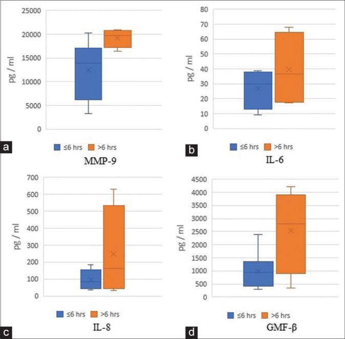
An increased trend in IL-6 (22 vs. 34 pg/ml), IL-8/CXCL8 (87 vs. 98 pg/ml), MMP-9 (16225 vs. 18450 pg/ml), and GMF-β (999 vs. 3739 pg/ml) levels was observed overtime after an AIS. Patients ≤60 years had lower levels of plasma MCP-1/CCL2 (50-647 vs. 150-1159 pg/ml), IL-6 (9-25 vs. 20-68 pg/ml), and IL-8 (30- 143 vs. 72-630 pg/ml), when compared with patients >60 years old.

CONCLUSION

Cytokines/chemokines and other inflammatory mediators play an important role in the pathogenesis of stroke in addition to mediating poststroke inflammation. Further research is needed to evaluate and characterize the cumulative trends of these mediators for the clinical prognosis or as surrogate biomarkers.

摘要

背景

免疫调节和细胞信号传导涉及多种细胞因子、蛋白质和其他因创伤、炎症或对中枢神经系统的其他损伤而释放的介质。这项初步研究是该注册研究的一部分,旨在评估急性缺血性卒中(AIS)患者体内这些分子的时间变化趋势。

方法

12例AIS患者在症状出现后24小时内入组。采集两组血浆样本:第一次在入院时,第二次在入院后24小时。使用多重检测试剂盒测量细胞因子/趋化因子和其他炎症分子。

结果

AIS后随时间推移,白细胞介素-6(IL-6)(22对34 pg/ml)、白细胞介素-8/趋化因子配体8(CXCL8)(87对98 pg/ml)、基质金属蛋白酶-9(MMP-9)(16225对18450 pg/ml)和GMF-β(999对3739 pg/ml)水平呈上升趋势。与年龄>60岁的患者相比,年龄≤60岁的患者血浆单核细胞趋化蛋白-1/CCL2(MCP-1/CCL2)(50 - 647对150 - 1159 pg/ml)、IL-6(9 - 25对20 - 68 pg/ml)和IL-8(30 - 143对72 - 630 pg/ml)水平较低。

结论

细胞因子/趋化因子和其他炎症介质除了介导卒中后炎症外,在卒中发病机制中也起重要作用。需要进一步研究来评估和描述这些介质的累积趋势,以用于临床预后或作为替代生物标志物。

https://cdn.ncbi.nlm.nih.gov/pmc/blobs/c25b/8422456/69c3b3df5788/SNI-12-366-g001.jpg

文献AI研究员

20分钟写一篇综述,助力文献阅读效率提升50倍。

立即体验

用中文搜PubMed

大模型驱动的PubMed中文搜索引擎

马上搜索

文档翻译

学术文献翻译模型,支持多种主流文档格式。

立即体验