Suppr超能文献

选择具有显著改善基本人口健康结果的热警系统阈值,以促进实施。

Selecting Thresholds of Heat-Warning Systems with Substantial Enhancement of Essential Population Health Outcomes for Facilitating Implementation.

机构信息

Research Center for Environmental Changes, Academia Sinica, Taipei 11529, Taiwan.

Department of Atmospheric Sciences, National Taiwan University, Taipei 10617, Taiwan.

出版信息

Int J Environ Res Public Health. 2021 Sep 9;18(18):9506. doi: 10.3390/ijerph18189506.

Abstract

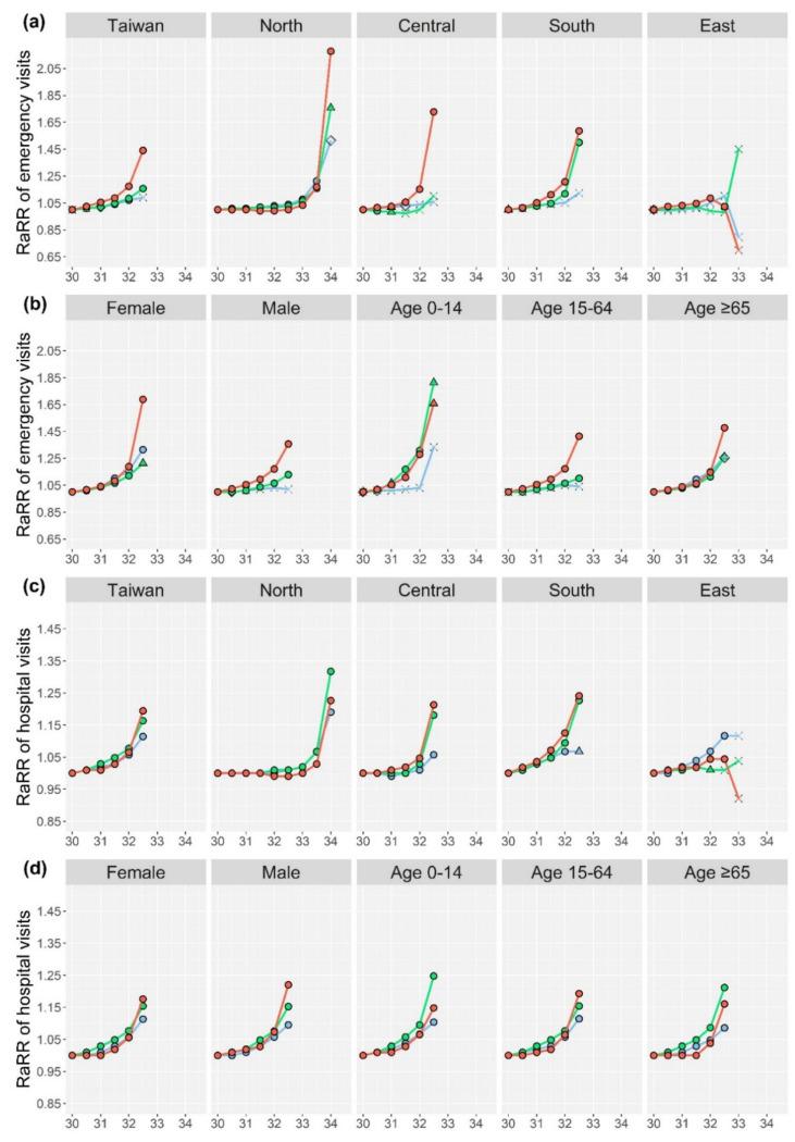
Most heat-health studies identified thresholds just outside human comfort zones, which are often too low to be used in heat-warning systems for reducing climate-related health risks. We refined a generalized additive model for selecting thresholds with substantial health risk enhancement, based on Taiwan population records of 2000-2017, considering lag effects and different spatial scales. Reference-adjusted risk ratio (RaRR) is proposed, defined as the ratio between the relative risk of an essential health outcome for a threshold candidate against that for a reference; the threshold with the highest RaRR is potentially the optimal one. It was found that the wet-bulb globe temperature (WBGT) is a more sensitive heat-health indicator than temperature. At lag 0, the highest RaRR (1.66) with WBGT occurred in emergency visits of children, while that in hospital visits occurred for the working-age group (1.19), presumably due to high exposure while engaging in outdoor activities. For most sex, age, and sub-region categories, the RaRRs of emergency visits were higher than those of hospital visits and all-cause mortality; thus, emergency visits should be employed (if available) to select heat-warning thresholds. This work demonstrates the applicability of this method to facilitate the establishment of heat-warning systems at city or country scales by authorities worldwide.

摘要

大多数热健康研究确定的阈值都在人体舒适区之外,而这些阈值通常太低,无法用于降低与气候相关的健康风险的热警报系统。我们根据台湾 2000-2017 年的人口记录,基于广义加性模型,考虑滞后效应和不同的空间尺度,改进了一种用于选择具有显著健康风险增强的阈值的方法。我们提出了参考调整风险比 (RaRR),定义为候选阈值与参考阈值的基本健康结果的相对风险之比;RaRR 最高的阈值可能是最佳阈值。结果发现,湿球黑球温度 (WBGT) 比温度更敏感的热健康指标。在滞后 0 时,儿童急诊就诊的 WBGT 最高 RaRR(1.66),而工作年龄组的医院就诊的 RaRR 最高(1.19),这可能是由于从事户外活动时暴露程度较高。对于大多数性别、年龄和次区域类别,急诊就诊的 RaRR 高于医院就诊和全因死亡率;因此,应采用急诊就诊(如果可用)来选择热警报阈值。这项工作证明了该方法的适用性,有助于世界各地的当局在城市或国家范围内建立热警报系统。

https://cdn.ncbi.nlm.nih.gov/pmc/blobs/1dc6/8471601/0dedca60ed0a/ijerph-18-09506-g001.jpg

文献AI研究员

20分钟写一篇综述,助力文献阅读效率提升50倍。

立即体验

用中文搜PubMed

大模型驱动的PubMed中文搜索引擎

马上搜索

文档翻译

学术文献翻译模型,支持多种主流文档格式。

立即体验