Suppr超能文献

全球传染病和非传染性疾病及伤害负担的社会经济不平等状况:2019 年全球疾病负担研究分析。

Global socioeconomic inequality in the burden of communicable and non-communicable diseases and injuries: an analysis on global burden of disease study 2019.

机构信息

Health Human Resources Research Center, School of Health Management and Information Sciences, Shiraz University of Medical Sciences, Almas Building, Alley 29, Qasrodasht Ave, Shiraz, Iran.

出版信息

BMC Public Health. 2021 Sep 28;21(1):1771. doi: 10.1186/s12889-021-11793-7.

Abstract

BACKGROUND

Examining the distribution of the burden of different communicable and non-communicable diseases and injuries worldwide can present proper evidence to global policymakers to deal with health inequality. The present study aimed to determine socioeconomic inequality in the burden of 25 groups of diseases between countries around the world in 2019.

METHODS

In the current study data according to 204 countries in the world was gathered from the Human Development Report and the Global Burden of Diseases study. Variables referring to incidence, prevalence, years of life lost (YLL), years lived with disability (YLD) and disability adjusted life years (DALY) resulting by 25 groups of diseases and injuries also human development index was applied for the analysis. For measurement of socioeconomic inequality, concentration index (CI) and curve was applied. CI is considered as one of the popular measures for inequality measurement. It ranges from - 1 to + 1. A positive value implies that a variable is concentrated among the higher socioeconomic status population and vice versa.

RESULTS

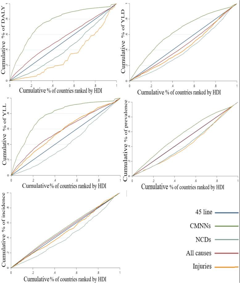
The findings showed that CI of the incidence, prevalence, YLL, YLD and DALY for all causes were - 0.0255, - 0.0035, - 0.1773, 0.0718 and - 0.0973, respectively. CI for total Communicable, Maternal, Neonatal, and Nutritional Diseases (CMNNDs) incidence, prevalence, YLL, YLD and DALY were estimated as - 0.0495, - 0.1355, - 0.5585, - 0.2801 and - 0.5203, respectively. Moreover, estimates indicated that CIs of incidence, prevalence, YLL, YLD and DALY for Non-Communicable Diseases (NCDs) were 0.1488, 0.1218, 0.1552, 0.1847 and 0.1669, respectively. Regarding injuries, the CIs of incidence, prevalence, YLL, YLD and DALY were determined as 0.0212, 0.1364, - 0.1605, 0.1146 and 0.3316, respectively. In the CMNNDs group, highest and lowest CI of DALY were related to the respiratory infections and tuberculosis (- 0.4291) and neglected tropical diseases and malaria (- 0.6872). Regarding NCDs, the highest and lowest CI for DALY is determined for neoplasms (0.3192) and other NCDs (- 0.0784). Moreover, the maximum and minimum of CI of DALY for injuries group were related to the transport injuries (0.0421) and unintentional injuries (- 0.0297).

CONCLUSIONS

The distribution of all-causes and CMNNDs burden were more concentrated in low-HDI countries and there are pro-poor inequality. However, there is a pro-rich inequality for NCDs' burden i.e. it was concentrated in high-HDI countries. On the other hand, the concentration of DALY, YLD, prevalence, and incidence in injuries was observed in the countries with higher HDI, while YLL was concentrated in low-HDI countries.

摘要

背景

研究全球不同传染病和非传染性疾病及损伤的负担分布情况,可以为全球政策制定者提供适当的证据,以应对健康不平等问题。本研究旨在确定 2019 年全球 25 组疾病在各国的负担的社会经济不平等情况。

方法

本研究的数据来自于全球 204 个国家的人类发展报告和全球疾病负担研究。用于分析的变量包括 25 组疾病和损伤导致的发病率、患病率、生命损失年(YLL)、残疾生命年(YLD)和伤残调整生命年(DALY)以及人类发展指数。为了衡量社会经济不平等,采用了集中指数(CI)和曲线。CI 是一种流行的不平等衡量指标,其范围在-1 到+1 之间。正值表示变量集中在社会经济地位较高的人群中,反之亦然。

结果

研究结果表明,所有病因的发病率、患病率、YLL、YLD 和 DALY 的 CI 值分别为-0.0255、-0.0035、-0.1773、0.0718 和-0.0973。传染病、孕产妇、新生儿和营养疾病(CMNNDs)总发病率、患病率、YLL、YLD 和 DALY 的 CI 值分别估计为-0.0495、-0.1355、-0.5585、-0.2801 和-0.5203。此外,研究结果表明,非传染性疾病(NCDs)的发病率、患病率、YLL、YLD 和 DALY 的 CI 值分别为 0.1488、0.1218、0.1552、0.1847 和 0.1669。关于损伤,发病率、患病率、YLL、YLD 和 DALY 的 CI 值分别确定为 0.0212、0.1364、-0.1605、0.1146 和 0.3316。在 CMNNDs 组中,DALY 的最高和最低 CI 值与呼吸道感染和肺结核(-0.4291)和被忽视的热带病和疟疾(-0.6872)有关。在 NCDs 方面,DALY 的最高和最低 CI 值与肿瘤(0.3192)和其他 NCDs(-0.0784)有关。此外,损伤组 DALY 的最大和最小 CI 值与交通伤(0.0421)和非故意伤害(-0.0297)有关。

结论

所有病因和 CMNNDs 负担的分布在低人类发展指数国家更为集中,存在有利于穷人的不平等现象。然而,NCDs 负担存在有利于富人的不平等现象,即集中在高人类发展指数国家。另一方面,损伤导致的 DALY、YLD、患病率和发病率在人类发展指数较高的国家更为集中,而 YLL 则集中在人类发展指数较低的国家。

https://cdn.ncbi.nlm.nih.gov/pmc/blobs/da25/8480106/be02e839e129/12889_2021_11793_Fig1_HTML.jpg

文献AI研究员

20分钟写一篇综述,助力文献阅读效率提升50倍。

立即体验

用中文搜PubMed

大模型驱动的PubMed中文搜索引擎

马上搜索

文档翻译

学术文献翻译模型,支持多种主流文档格式。

立即体验