Suppr超能文献

食物蛋白衍生肽的降压作用:近期临床试验的荟萃分析

The Blood-Pressure-Lowering Effect of Food-Protein-Derived Peptides: A Meta-Analysis of Recent Clinical Trials.

作者信息

Liao Wang, Sun Guiju, Xu Dengfeng, Wang Yuanyuan, Lu Yifei, Sun Jihan, Xia Hui, Wang Shaokang

机构信息

Key Laboratory of Environmental Medicine and Engineering of Ministry of Education, and Department of Nutrition and Food Hygiene, School of Public Health, Southeast University, Nanjing 210009, China.

出版信息

Foods. 2021 Sep 29;10(10):2316. doi: 10.3390/foods10102316.

Abstract

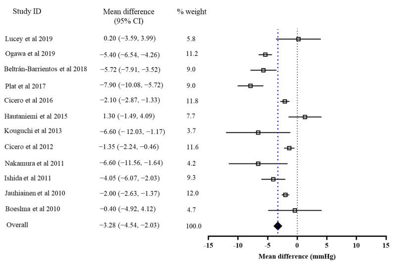
Although clinical trials of food-protein-derived peptides in the management of hypertension have been published, the results are controversial, which compelled us to conduct a meta-analysis to evaluate the pooled effect of peptide intervention. In this study, we searched for studies published between 2010 and 2021 and selected 12 eligible studies for a meta-analysis. The pooled effect of peptide intervention for systolic blood pressure (SBP) and diastolic blood pressure (DBP) was -3.28 mmHg (95% CI: -4.54, -2.03, < 0.001) and -1.82 mmHg (95% CI: -3.46, -0.18, = 0.03), respectively. Sub-group analyses showed that the reduction in BP in participants with higher basal BP (>140/85 mmHg) was greater ( = 0.007 for SBP and = 0.01 for DBP), and the effect was stronger in Asian participants as compared with non-Asian participants ( = 0.01 for SBP and = 0.04 for DBP). In addition, the effect of peptide intervention was more pronounced on SBP in participant groups with a lower ratio of male to female (≤0.5) as well as in participants with a mean age ≥50 years old. In conclusion, food-protein-derived antihypertensive peptides can significantly reduce BP in prehypertensive and hypertensive patients. Findings from this study could provide guidance for the design of clinical trials of antihypertensive peptides.

摘要

尽管关于食物蛋白衍生肽用于高血压管理的临床试验已经发表,但结果存在争议,这促使我们进行一项荟萃分析以评估肽干预的综合效果。在本研究中,我们检索了2010年至2021年发表的研究,并选择了12项符合条件的研究进行荟萃分析。肽干预对收缩压(SBP)和舒张压(DBP)的综合效果分别为-3.28 mmHg(95%CI:-4.54,-2.03,<0.001)和-1.82 mmHg(95%CI:-3.46,-0.18,=0.03)。亚组分析表明,基础血压较高(>140/85 mmHg)的参与者血压降低幅度更大(SBP为=0.007,DBP为=0.01),与非亚洲参与者相比,亚洲参与者的效果更强(SBP为=0.01,DBP为=0.04)。此外,在男女比例较低(≤0.5)的参与者组以及平均年龄≥50岁的参与者中,肽干预对SBP的效果更为显著。总之,食物蛋白衍生的降压肽可显著降低高血压前期和高血压患者的血压。本研究结果可为降压肽的临床试验设计提供指导。

https://cdn.ncbi.nlm.nih.gov/pmc/blobs/859d/8535520/595e68d931c4/foods-10-02316-g001.jpg

文献AI研究员

20分钟写一篇综述,助力文献阅读效率提升50倍。

立即体验

用中文搜PubMed

大模型驱动的PubMed中文搜索引擎

马上搜索

文档翻译

学术文献翻译模型,支持多种主流文档格式。

立即体验