Suppr超能文献

复合图神经网络提高亲脂性和水溶解度预测。

Improved Lipophilicity and Aqueous Solubility Prediction with Composite Graph Neural Networks.

机构信息

Department of Pharmaceutical Chemistry, University of Vienna, Althanstraße 14, A-1090 Vienna, Austria.

Servier Research Institute-CentEx Biotechnology, 125 Chemin de Ronde, 78290 Croissy-sur-Seine, France.

出版信息

Molecules. 2021 Oct 13;26(20):6185. doi: 10.3390/molecules26206185.

Abstract

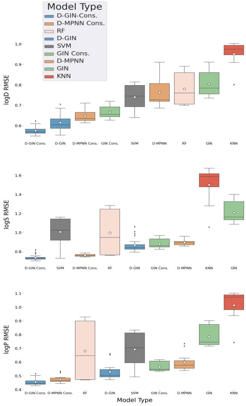
The accurate prediction of molecular properties, such as lipophilicity and aqueous solubility, are of great importance and pose challenges in several stages of the drug discovery pipeline. Machine learning methods, such as graph-based neural networks (GNNs), have shown exceptionally good performance in predicting these properties. In this work, we introduce a novel GNN architecture, called directed edge graph isomorphism network (D-GIN). It is composed of two distinct sub-architectures (D-MPNN, GIN) and achieves an improvement in accuracy over its sub-architectures employing various learning, and featurization strategies. We argue that combining models with different key aspects help make graph neural networks deeper and simultaneously increase their predictive power. Furthermore, we address current limitations in assessment of deep-learning models, namely, comparison of single training run performance metrics, and offer a more robust solution.

摘要

准确预测分子性质,如脂溶性和水溶解度,具有重要意义,并在药物发现管道的多个阶段带来挑战。基于图的机器学习方法(如图神经网络(GNN))在预测这些性质方面表现出了非常好的性能。在这项工作中,我们引入了一种新的 GNN 架构,称为有向边图同构网络(D-GIN)。它由两个不同的子架构(D-MPNN、GIN)组成,并通过采用各种学习和特征化策略,在准确性方面优于其子架构。我们认为,结合具有不同关键方面的模型有助于使图神经网络更深,并同时提高其预测能力。此外,我们解决了深度学习模型评估中的当前限制,即比较单个训练运行的性能指标,并提供了更稳健的解决方案。

https://cdn.ncbi.nlm.nih.gov/pmc/blobs/365a/8539502/63ed3a4cdd78/molecules-26-06185-g0A1.jpg

文献AI研究员

20分钟写一篇综述,助力文献阅读效率提升50倍。

立即体验

用中文搜PubMed

大模型驱动的PubMed中文搜索引擎

马上搜索

文档翻译

学术文献翻译模型,支持多种主流文档格式。

立即体验