Suppr超能文献

利用碳纳米颗粒提高土壤肥力、促进玉米(L.)作物生长及养分吸收

Use of Carbon Nanoparticles to Improve Soil Fertility, Crop Growth and Nutrient Uptake by Corn ( L.).

作者信息

Zhao Fengliang, Xin Xiaoping, Cao Yune, Su Dan, Ji Puhui, Zhu Zhiqiang, He Zhenli

机构信息

Indian River Research and Education Center, Department of Soil and Water Science, Institute of Food and Agricultural Sciences, University of Florida, Fort Pierce, FL 34945, USA.

Hainan Key Laboratory of Tropical Eco-Circular Agriculture, Institute of Environmental and Plant Protection, Chinese Academy of Tropical Agricultural Sciences, Haikou 571101, China.

出版信息

Nanomaterials (Basel). 2021 Oct 14;11(10):2717. doi: 10.3390/nano11102717.

Abstract

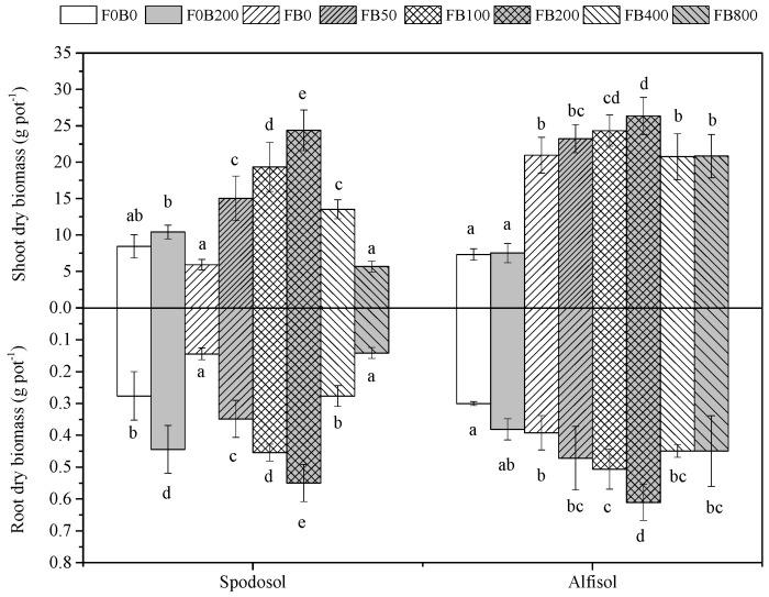
The use of carbon nanoparticles (CNPs) as a fertilizer synergist to enhance crop growth has attracted increasing interest. However, current understanding about plant growth and soil response to CNPs is limited. In the present study, we investigated the effects of CNPs at different application rates on soil properties, the plant growth and nutrient use efficiency (NUE) of corn ( L.) in two agricultural soils (Spodosol and Alfisol). The results showed that CNPs affected corn growth in a dose-dependent manner, augmenting and retarding growth at low and at high concentrations, respectively. The amendment at the optimal rate of 200 mg CNPs kg significantly enhanced corn growth as indicated by improved plant height, biomass yield, nutrient uptake and nutrient use efficiency, which could be explained by the higher availability of phosphorus and nitrogen in the amended soils. The application of CNPs largely stimulated soil urease activity irrespectively of soil types. However, the responses of dehydrogenase and phosphatase to CNPs were dose dependent; their activity significantly increased with the increasing application rates of CNPs up to 200 mg kg but declined at higher rates (>400 mg kg). These findings have important implications in the field application of CNPs for enhancing nutrient use efficiency and crop production in tropical/subtropical regions.

摘要

使用碳纳米颗粒(CNPs)作为肥料增效剂来促进作物生长已引起越来越多的关注。然而,目前对植物生长和土壤对CNPs的反应的了解有限。在本研究中,我们研究了不同施用量的CNPs对两种农业土壤(灰土和淋溶土)的土壤性质、玉米(L.)的植物生长和养分利用效率(NUE)的影响。结果表明,CNPs对玉米生长的影响呈剂量依赖性,在低浓度和高浓度下分别促进和抑制生长。以200 mg CNPs kg的最佳施用量进行改良,显著促进了玉米生长,表现为株高、生物量产量、养分吸收和养分利用效率提高,这可以通过改良土壤中磷和氮的有效性更高来解释。无论土壤类型如何,CNPs的施用都极大地刺激了土壤脲酶活性。然而,脱氢酶和磷酸酶对CNPs的反应呈剂量依赖性;它们的活性随着CNPs施用量增加到200 mg kg而显著增加,但在更高施用量(>400 mg kg)时下降。这些发现对CNPs在热带/亚热带地区提高养分利用效率和作物产量的田间应用具有重要意义。

https://cdn.ncbi.nlm.nih.gov/pmc/blobs/4a46/8537598/0941af2b0223/nanomaterials-11-02717-g001.jpg

文献AI研究员

20分钟写一篇综述,助力文献阅读效率提升50倍。

立即体验

用中文搜PubMed

大模型驱动的PubMed中文搜索引擎

马上搜索

文档翻译

学术文献翻译模型,支持多种主流文档格式。

立即体验