Suppr超能文献

补充硒和硼可减轻盐诱导的氧化损伤(在……中,原文未完整给出具体对象)

Supplemental Selenium and Boron Mitigate Salt-Induced Oxidative Damages in L.

作者信息

Rahman Mira, Rahman Khussboo, Sathi Khadeja Sultana, Alam Md Mahabub, Nahar Kamrun, Fujita Masayuki, Hasanuzzaman Mirza

机构信息

Department of Agronomy, Faculty of Agriculture, Sher-e-Bangla Agricultural University, Dhaka 1207, Bangladesh.

Department of Agricultural Botany, Faculty of Agriculture, Sher-e-Bangla Agricultural University, Dhaka 1207, Bangladesh.

出版信息

Plants (Basel). 2021 Oct 19;10(10):2224. doi: 10.3390/plants10102224.

Abstract

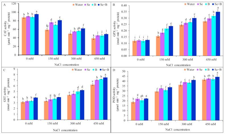
The present investigation was executed with an aim to evaluate the role of exogenous selenium (Se) and boron (B) in mitigating different levels of salt stress by enhancing the reactive oxygen species (ROS) scavenging, antioxidant defense and glyoxalase systems in soybean. Plants were treated with 0, 150, 300 and 450 mM NaCl at 20 days after sowing (DAS). Foliar application of Se (50 µM NaSeO) and B (1 mM HBO) was accomplished individually and in combined (Se+B) at three-day intervals, at 16, 20, 24 and 28 DAS under non-saline and saline conditions. Salt stress adversely affected the growth parameters. In salt-treated plants, proline content and oxidative stress indicators such as malondialdehyde (MDA) content and hydrogen peroxide (HO) content were increased with the increment of salt concentration but the relative water content decreased. Due to salt stress catalase (CAT), monodehydroascorbate reductase (MDHAR), dehydroascorbate reductase (DHAR), glyoxalase I (Gly I) and glyoxalase II (Gly II) activity decreased. However, the activity of ascorbate peroxidase (APX), glutathione reductase (GR), glutathione peroxidase (GPX), glutathione -transferase (GST) and peroxidase (POD) increased under salt stress. On the contrary, supplementation of Se, B and Se+B enhanced the activities of APX, MDHAR, DHAR, GR, CAT, GPX, GST, POD, Gly I and Gly II which consequently diminished the HO content and MDA content under salt stress, and also improved the growth parameters. The results reflected that exogenous Se, B and Se+B enhanced the enzymatic activity of the antioxidant defense system as well as the glyoxalase systems under different levels of salt stress, ultimately alleviated the salt-induced oxidative stress, among them Se+B was more effective than a single treatment.

摘要

本研究旨在通过增强大豆中的活性氧(ROS)清除、抗氧化防御和乙二醛酶系统,评估外源硒(Se)和硼(B)在缓解不同程度盐胁迫中的作用。在播种后20天(DAS),用0、150、300和450 mM NaCl处理植株。在非盐和盐胁迫条件下,于16、20、24和28 DAS每隔三天分别单独叶面喷施硒(50 µM NaSeO)和硼(1 mM HBO)以及二者组合(Se+B)。盐胁迫对生长参数产生不利影响。在盐处理植株中,脯氨酸含量以及丙二醛(MDA)含量和过氧化氢(HO)含量等氧化应激指标随盐浓度增加而升高,但相对含水量降低。由于盐胁迫,过氧化氢酶(CAT)、单脱氢抗坏血酸还原酶(MDHAR)、脱氢抗坏血酸还原酶(DHAR)、乙二醛酶I(Gly I)和乙二醛酶II(Gly II)活性降低。然而,在盐胁迫下抗坏血酸过氧化物酶(APX)、谷胱甘肽还原酶(GR)、谷胱甘肽过氧化物酶(GPX)、谷胱甘肽 -转移酶(GST)和过氧化物酶(POD)活性增加。相反,补充硒、硼和硒+硼可提高APX、MDHAR、DHAR、GR、CAT、GPX、GST、POD、Gly I和Gly II的活性,从而降低盐胁迫下的HO含量和MDA含量,并改善生长参数。结果表明,外源硒、硼和硒+硼在不同程度盐胁迫下增强了抗氧化防御系统和乙二醛酶系统的酶活性,最终减轻了盐诱导的氧化应激,其中硒+硼比单一处理更有效。

https://cdn.ncbi.nlm.nih.gov/pmc/blobs/bfd2/8539870/870de0ada1c2/plants-10-02224-g001.jpg

文献AI研究员

20分钟写一篇综述,助力文献阅读效率提升50倍。

立即体验

用中文搜PubMed

大模型驱动的PubMed中文搜索引擎

马上搜索

文档翻译

学术文献翻译模型,支持多种主流文档格式。

立即体验