Suppr超能文献

开发一种用于 SARS-CoV-2 的重组 RBD 亚单位疫苗。

Development of a Recombinant RBD Subunit Vaccine for SARS-CoV-2.

机构信息

Key Lab of Vaccine, Prevention and Control of Infectious Disease of Zhejiang Province, Zhejiang Provincial Center for Disease Control and Prevention, Hangzhou 310015, China.

Zhejiang Provincial Key Laboratory of Anti-Cancer Drug Research, Institute of Drug Metabolism and Pharmaceutical Analysis, College of Pharmaceutical Sciences, Zhejiang University, Hangzhou 310058, China.

出版信息

Viruses. 2021 Sep 26;13(10):1936. doi: 10.3390/v13101936.

Abstract

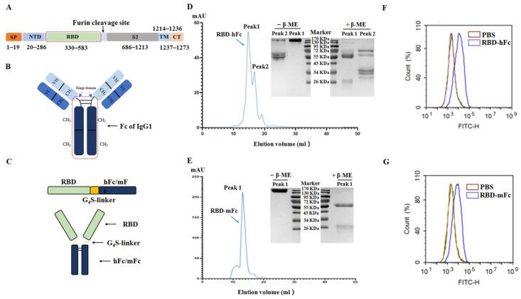
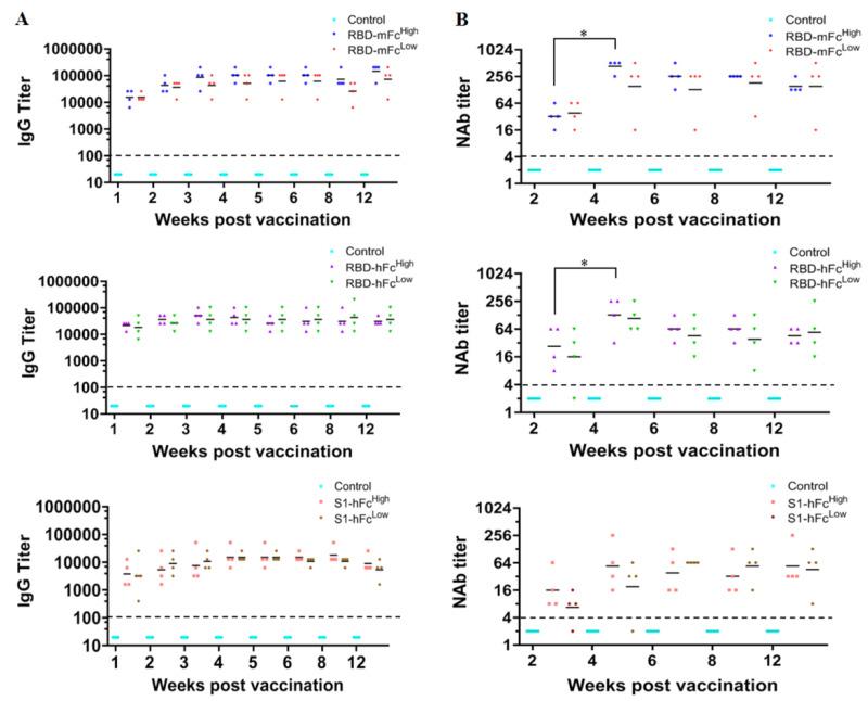
The novel coronavirus pneumonia (COVID-19) pandemic is a great threat to human society and now is still spreading. Although several vaccines have been authorized for emergency use, only one recombinant subunit vaccine has been permitted for widespread use. More subunit vaccines for COVID-19 should be developed in the future. The receptor binding domain (RBD), located at the S protein of SARS-CoV-2, contains most of the neutralizing epitopes. However, the immunogenicity of RBD monomers is not strong enough. In this study, we fused the RBD-monomer with a modified Fc fragment of human IgG1 to form an RBD-Fc fusion protein. The recombinant vaccine candidate based on the RBD-Fc protein could induce high levels of IgG and neutralizing antibody in mice, and these could last for at least three months. The secretion of IFN-γ, IL-2 and IL-10 in the RBD-stimulated splenocytes of immunized mice also increased significantly. Our results first showed that the RBD-Fc vaccine could induce both humoral and cellular immune responses and might be an optional strategy to control COVID-19.

摘要

新型冠状病毒肺炎(COVID-19)大流行是对人类社会的巨大威胁,目前仍在传播。虽然已经有几种疫苗被授权紧急使用,但只有一种重组亚单位疫苗被允许广泛使用。未来应该开发更多针对 COVID-19 的亚单位疫苗。位于 SARS-CoV-2 S 蛋白上的受体结合域(RBD)包含大多数中和表位。然而,RBD 单体的免疫原性不够强。在这项研究中,我们将 RBD-单体与改良的人 IgG1 的 Fc 片段融合,形成 RBD-Fc 融合蛋白。基于 RBD-Fc 蛋白的重组疫苗候选物可在小鼠中诱导高水平的 IgG 和中和抗体,且至少可维持三个月。免疫小鼠的 RBD 刺激脾细胞中 IFN-γ、IL-2 和 IL-10 的分泌也显著增加。我们的结果首次表明,RBD-Fc 疫苗可诱导体液和细胞免疫应答,可能是控制 COVID-19 的一种可选策略。

https://cdn.ncbi.nlm.nih.gov/pmc/blobs/8578/8541238/52af197f93a8/viruses-13-01936-g001.jpg

文献AI研究员

20分钟写一篇综述,助力文献阅读效率提升50倍。

立即体验

用中文搜PubMed

大模型驱动的PubMed中文搜索引擎

马上搜索

文档翻译

学术文献翻译模型,支持多种主流文档格式。

立即体验