Suppr超能文献

采用 Illumina MiSeq 测序评估 164 个种系信息标记的定制 QIAseq 靶向 DNA 面板

Evaluation of a custom QIAseq targeted DNA panel with 164 ancestry informative markers sequenced with the Illumina MiSeq.

机构信息

Section of Forensic Genetics, Department of Forensic Medicine, Faculty of Health and Medical Sciences, University of Copenhagen, 2100, Copenhagen, Denmark.

Forensic Genetics Unit, Institute of Forensic Sciences, University of Santiago de Compostela, Santiago de Compostela, Spain.

出版信息

Sci Rep. 2021 Oct 26;11(1):21040. doi: 10.1038/s41598-021-99933-2.

Abstract

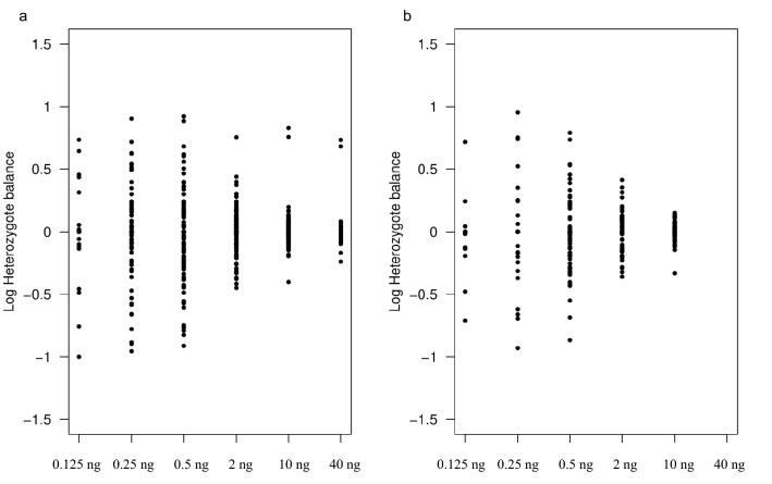
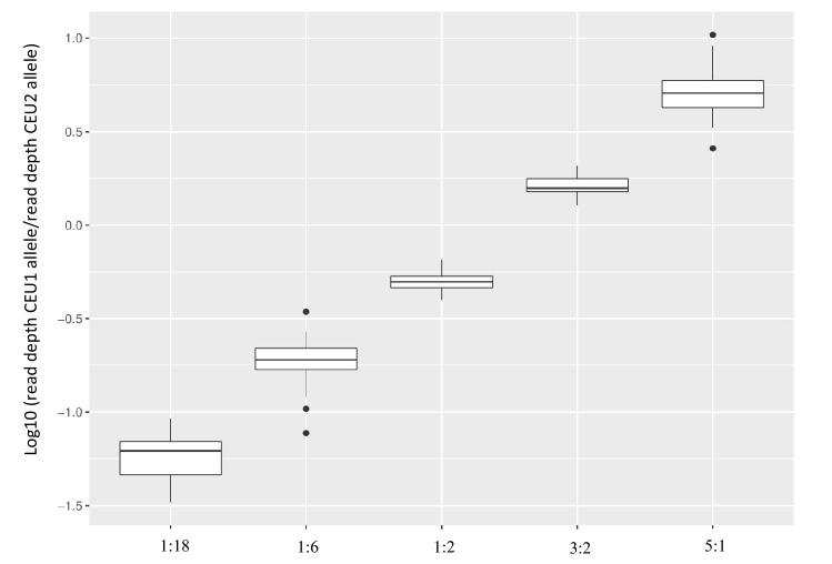
Introduction of new methods requires meticulous evaluation before they can be applied to forensic genetic case work. Here, a custom QIAseq Targeted DNA panel with 164 ancestry informative markers was assessed using the MiSeq sequencing platform. Concordance, sensitivity, and the capability for analysis of mixtures were tested. The assay gave reproducible and nearly concordant results with an input of 10 and 2 ng DNA. Lower DNA input led to an increase in both locus and allele drop-outs, and a higher variation in heterozygote balance. Locus or allele drop-outs in the samples with less than 2 ng DNA input were not necessarily associated with the overall performance of a locus. Thus, the QIAseq assay will be difficult to implement in a forensic genetic setting where the sample material is often scarce and of poor quality. With equal or near equal mixture ratios, the mixture DNA profiles were easily identified by an increased number of imbalanced heterozygotes. For more skewed mixture ratios, the mixture DNA profiles were identified by an increased noise level. Lastly, individuals from Great Britain and the Middle East were investigated. The Middle Eastern individuals showed a greater affinity with South European populations compared to North European populations.

摘要

在将新方法应用于法医遗传学案件工作之前,需要进行细致的评估。在这里,使用 MiSeq 测序平台评估了带有 164 个祖先信息标记的定制 QIAseq 靶向 DNA 面板。测试了一致性、灵敏度和混合物分析能力。该检测在输入 10 和 2ng DNA 时给出了可重复且几乎一致的结果。较低的 DNA 输入导致基因座和等位基因缺失增加,杂合子平衡的变化更大。在 DNA 输入量小于 2ng 的样本中,基因座或等位基因缺失不一定与基因座的整体性能相关。因此,在法医遗传学环境中,该 QIAseq 检测法难以实施,因为样本材料通常稀缺且质量差。对于相等或接近相等的混合比例,通过增加不平衡的杂合子很容易识别混合 DNA 谱。对于更偏斜的混合比例,通过增加噪声水平来识别混合 DNA 谱。最后,研究了来自英国和中东的个体。与北欧人群相比,中东个体与南欧人群的亲缘关系更为密切。

https://cdn.ncbi.nlm.nih.gov/pmc/blobs/086e/8548529/6e61fcdf0f50/41598_2021_99933_Fig1_HTML.jpg

文献AI研究员

20分钟写一篇综述,助力文献阅读效率提升50倍。

立即体验

用中文搜PubMed

大模型驱动的PubMed中文搜索引擎

马上搜索

文档翻译

学术文献翻译模型,支持多种主流文档格式。

立即体验