Suppr超能文献

通过氨基酸取代和改变疏水残基比例提高抗菌肽对水生病原菌的活性

Improving the Activity of Antimicrobial Peptides Against Aquatic Pathogen Bacteria by Amino Acid Substitutions and Changing the Ratio of Hydrophobic Residues.

作者信息

Tan Rong, Wang Meiru, Xu Huiqin, Qin Lu, Wang Jun, Cui Pengfei, Ru Shaoguo

机构信息

College of Marine Life Science, Ocean University of China, Qingdao, China.

出版信息

Front Microbiol. 2021 Oct 18;12:773076. doi: 10.3389/fmicb.2021.773076. eCollection 2021.

Abstract

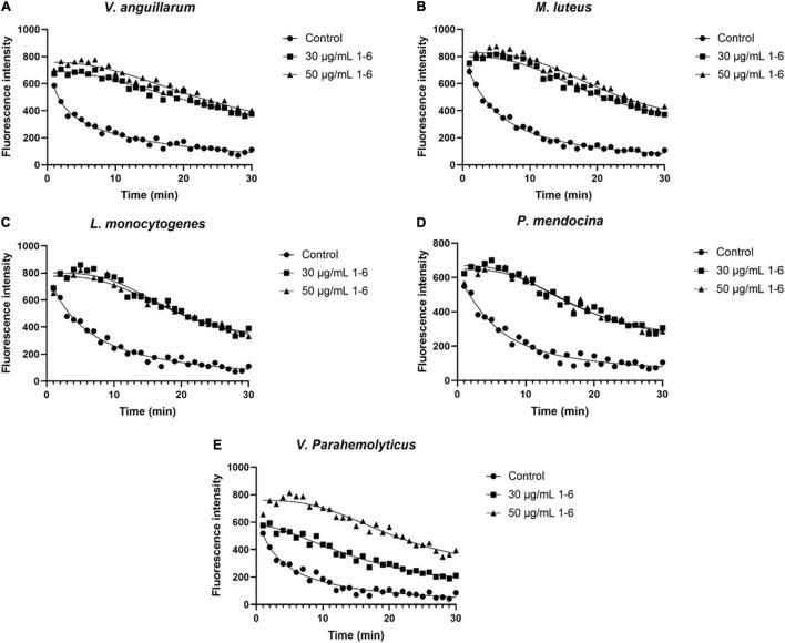
With the increasing number of drug-resistant bacteria, there is an urgent need for new antimicrobial agents, and antimicrobial peptides (AMPs), which exist in the human non-specific immune system, are one of the most promising candidates. It is an effective optimization strategy to modify antimicrobial peptides (AMPs) according to the distribution of amino acids and hydrophobic characteristics. The addition of bacterial pheromones to the N short peptide can increase the ability to recognize bacteria. In this study, we designed and synthesized AMP1-6 by amino acid substitution of mBjAMP1. Additionally, P-6, S-6, and L-6 were designed and synthesized by adding bacterial pheromones based on 1-6. Functional tests showed that the four AMPs had the ability to kill Gram-negative , , and , and Gram-positive and . Additionally, all four AMPs induced permeabilization and depolarization of bacterial cell membranes and increased intracellular reactive oxygen species (ROS) levels. Importantly, they had little or no mammalian cytotoxicity. At the same time, 1-6 and L-6 protected the stability of intestinal flora in and increased the relative abundance of . In summary, our results indicate that the designed AMPs have broad application prospects as a new type of polypeptide antimicrobial agent.

摘要

随着耐药细菌数量的增加,迫切需要新型抗菌剂,而存在于人类非特异性免疫系统中的抗菌肽(AMPs)是最有前途的候选者之一。根据氨基酸分布和疏水特性对抗菌肽(AMPs)进行修饰是一种有效的优化策略。在N端短肽中添加细菌信息素可提高对细菌的识别能力。在本研究中,我们通过对mBjAMP1进行氨基酸替换设计并合成了AMP1-6。此外,基于1-6添加细菌信息素设计并合成了P-6、S-6和L-6。功能测试表明,这四种抗菌肽具有杀死革兰氏阴性菌、和,以及革兰氏阳性菌和的能力。此外,所有四种抗菌肽均能诱导细菌细胞膜的通透性和去极化,并提高细胞内活性氧(ROS)水平。重要的是,它们对哺乳动物几乎没有细胞毒性。同时,1-6和L-6保护了小鼠肠道菌群的稳定性,并增加了的相对丰度。总之,我们的结果表明,所设计的抗菌肽作为一种新型多肽抗菌剂具有广阔的应用前景。

https://cdn.ncbi.nlm.nih.gov/pmc/blobs/35c3/8558516/d1a68de7f975/fmicb-12-773076-g001.jpg

文献AI研究员

20分钟写一篇综述,助力文献阅读效率提升50倍。

立即体验

用中文搜PubMed

大模型驱动的PubMed中文搜索引擎

马上搜索

文档翻译

学术文献翻译模型,支持多种主流文档格式。

立即体验