Suppr超能文献

神经内分泌肿瘤血浆游离 DNA 中纵向拷贝数改变分析是一种新的特异性生物标志物,可用于诊断、预后和随访。

Longitudinal Copy-Number Alteration Analysis in Plasma Cell-Free DNA of Neuroendocrine Neoplasms is a Novel Specific Biomarker for Diagnosis, Prognosis, and Follow-up.

机构信息

Center for Oncological Research (CORE), Integrated Personalized and Precision Oncology Network (IPPON), University of Antwerp and Antwerp University Hospital, Antwerp, Belgium.

Center of Medical Genetics, University of Antwerp and Antwerp University Hospital, Edegem, Belgium.

出版信息

Clin Cancer Res. 2022 Jan 15;28(2):338-349. doi: 10.1158/1078-0432.CCR-21-2291. Epub 2021 Nov 10.

Abstract

PURPOSE

As noninvasive biomarkers are an important unmet need for neuroendocrine neoplasms (NEN), biomarker potential of genome-wide molecular profiling of plasma cell-free DNA (cfDNA) was prospectively studied in patients with NEN.

EXPERIMENTAL DESIGN

Longitudinal plasma samples were collected from patients with well-differentiated, metastatic gastroenteropancreatic and lung NEN. cfDNA was subjected to shallow whole-genome sequencing to detect genome-wide copy-number alterations (CNA) and estimate circulating tumor DNA (ctDNA) fraction, and correlated to clinicopathologic and survival data. To differentiate pancreatic NENs (PNEN) from pancreatic adenocarcinomas (PAAD) using liquid biopsies, a classification model was trained using tissue-based CNAs and validated in cfDNA.

RESULTS

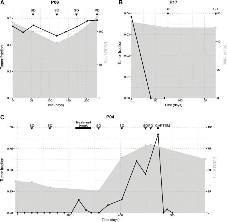
One hundred and ninety-five cfDNA samples from 43 patients with NEN were compared with healthy control cfDNA ( = 100). Plasma samples from patients with PNEN ( = 21) were used for comparison with publicly available PNEN tissue ( = 98), PAAD tissue ( = 109), and PAAD cfDNA ( = 96). Thirty percent of the NEN cfDNA samples contained ctDNA and 44% of the patients had at least one ctDNA-positive (ctDNA) sample. CNAs detected in cfDNA were highly specific for NENs and the classification model could distinguish PAAD and PNEN cfDNA samples with a sensitivity, specificity, and AUC of 62%, 86%, and 79%, respectively. ctDNA-positivity was associated with higher World Health Organization (WHO) grade, primary tumor location, and higher chromogranin A and neuron-specific enolase values. Overall survival was significantly worse for ctDNA patients and increased ctDNA fractions were associated with poorer progression-free survival.

CONCLUSIONS

Sequential genome-wide profiling of plasma cfDNA is a novel, noninvasive biomarker with high specificity for diagnosis, prognosis, and follow-up in metastatic NENs.

摘要

目的

由于非侵入性生物标志物是神经内分泌肿瘤(NEN)的重要未满足需求,因此前瞻性研究了血浆无细胞 DNA(cfDNA)的全基因组分子谱在 NEN 患者中的生物标志物潜力。

实验设计

从分化良好的转移性胃肠胰腺和肺 NEN 患者中采集纵向血浆样本。cfDNA 进行浅层全基因组测序以检测全基因组拷贝数改变(CNA)并估计循环肿瘤 DNA(ctDNA)分数,并与临床病理和生存数据相关联。为了使用液体活检区分胰腺神经内分泌瘤(PNEN)和胰腺腺癌(PAAD),使用基于组织的 CNA 训练分类模型,并在 cfDNA 中进行验证。

结果

将 195 份来自 43 名 NEN 患者的 cfDNA 样本与 100 名健康对照组 cfDNA 进行比较。来自 21 名 PNEN 患者的血浆样本与公开的可用 PNEN 组织(= 98)、PAAD 组织(= 109)和 PAAD cfDNA(= 96)进行比较。30%的 NEN cfDNA 样本含有 ctDNA,并且 44%的患者至少有一份 ctDNA 阳性(ctDNA)样本。cfDNA 中检测到的 CNA 高度特异性地针对 NEN,分类模型能够以 62%、86%和 79%的灵敏度、特异性和 AUC 区分 PAAD 和 PNEN cfDNA 样本。ctDNA 阳性与更高的世界卫生组织(WHO)分级、原发肿瘤部位以及更高的嗜铬粒蛋白 A 和神经元特异性烯醇化酶值相关。ctDNA 患者的总生存率明显更差,ctDNA 分数增加与无进展生存率降低相关。

结论

对血浆 cfDNA 进行全基因组测序是一种新型的非侵入性生物标志物,对转移性 NEN 的诊断、预后和随访具有高度特异性。

https://cdn.ncbi.nlm.nih.gov/pmc/blobs/7322/9401546/f464a2428d96/338fig1.jpg

文献AI研究员

20分钟写一篇综述,助力文献阅读效率提升50倍。

立即体验

用中文搜PubMed

大模型驱动的PubMed中文搜索引擎

马上搜索

文档翻译

学术文献翻译模型,支持多种主流文档格式。

立即体验