Suppr超能文献

双通道卷积神经网络算法在英文文本大数据语义特征分析中的应用。

Application of Dual-Channel Convolutional Neural Network Algorithm in Semantic Feature Analysis of English Text Big Data.

机构信息

International Business School, Qingdao Huanghai University, Qingdao, Shandong 266400, China.

School of Data Science, Qingdao Huanghai University, Qingdao 266427, Shandong, China.

出版信息

Comput Intell Neurosci. 2021 Nov 6;2021:7085412. doi: 10.1155/2021/7085412. eCollection 2021.

Abstract

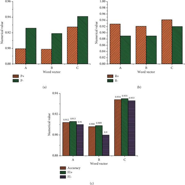
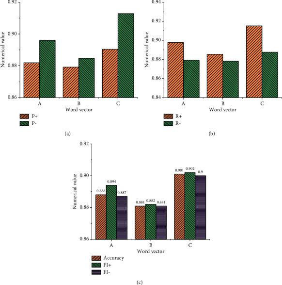
The current Internet data explosion is expecting an ever-higher demand for text emotion analysis that greatly facilitates public opinion analysis and trend prediction, among others. Therefore, this paper proposes to use a dual-channel convolutional neural network (DCNN) algorithm to analyze the semantic features of English text big data. Following the analysis of the effect of CNN, artificial neural network (ANN), and recurrent neural network (RNN) on English text data analysis, the more effective long short-term memory (LSTM) and the gated recurrent unit (GRU) neural network (NN) are introduced, and each network is combined with the dual-channel CNN, respectively, and comprehensively analyzed under comparative experiments. Second, the semantic features of English text big data are analyzed through the improved SO-pointwise mutual information (SO-PMI) algorithm. Finally, the ensemble dual-channel CNN model is established. Under the comparative experiment, GRU NN has a better feature detection effect than LSTM NN, but the performance increase from dual-channel CNN to GRU NN + dual-channel CNN is not obvious. Under the comparative analysis of GRU NN + dual-channel CNN model and LSTM NN + dual-channel CNN model, GRU NN + dual-channel CNN model ensures the high accuracy of semantic feature analysis and improves the analysis speed of the model. Further, after the attention mechanism is added to the GRU NN + dual-channel CNN model, the accuracy of semantic feature analysis of the model is improved by nearly 1.3%. Therefore, the ensemble model of GRU NN + dual-channel CNN + attention mechanism is more suitable for semantic feature analysis of English text big data. The results will help the e-commerce platform to analyze the evaluation language and semantic features for the current network English short texts.

摘要

当前互联网数据呈爆炸式增长,对文本情感分析的需求也越来越高,这对舆情分析和趋势预测等具有重要意义。因此,本文提出使用双通道卷积神经网络(DCNN)算法分析英文文本大数据的语义特征。在分析卷积神经网络(CNN)、人工神经网络(ANN)和循环神经网络(RNN)对英文文本数据分析的效果后,引入了更有效的长短时记忆(LSTM)和门控循环单元(GRU)神经网络(NN),并分别结合双通道 CNN 进行综合分析和对比实验。其次,通过改进的 SO 点互信息(SO-PMI)算法分析英文文本大数据的语义特征。最后,建立集成双通道 CNN 模型。在对比实验中,GRU NN 比 LSTM NN 具有更好的特征检测效果,但从双通道 CNN 到 GRU NN + 双通道 CNN 的性能提升并不明显。在 GRU NN + 双通道 CNN 模型和 LSTM NN + 双通道 CNN 模型的对比分析中,GRU NN + 双通道 CNN 模型在保证语义特征分析高精度的同时,提高了模型的分析速度。进一步地,在 GRU NN + 双通道 CNN 模型中加入注意力机制后,模型的语义特征分析精度提高了近 1.3%。因此,GRU NN + 双通道 CNN + 注意力机制的集成模型更适合分析英文文本大数据的语义特征。该研究结果有助于电子商务平台分析当前网络英文短文本的评价语言和语义特征。

https://cdn.ncbi.nlm.nih.gov/pmc/blobs/ff51/8590597/1f38c66a0b5c/CIN2021-7085412.001.jpg

文献AI研究员

20分钟写一篇综述,助力文献阅读效率提升50倍。

立即体验

用中文搜PubMed

大模型驱动的PubMed中文搜索引擎

马上搜索

文档翻译

学术文献翻译模型,支持多种主流文档格式。

立即体验