Suppr超能文献

血淋巴蜕皮激素滴度在卵子发生过程中影响母体mRNA。

Hemolymph Ecdysteroid Titer Affects Maternal mRNAs during Oogenesis.

作者信息

Zhang Meirong, Xu Pingzhen, Chen Tao

机构信息

Jiangsu Key Laboratory of Sericultural Biology and Biotechnology, School of Biotechnology, Jiangsu University of Science and Technology, Zhenjiang 212028, China.

Key Laboratory of Silkworm and Mulberry Genetic Improvement, Ministry of Agriculture, Sericultural Research Institute, Chinese Academy of Agricultural Sciences, Zhenjiang 212028, China.

出版信息

Insects. 2021 Oct 27;12(11):969. doi: 10.3390/insects12110969.

Abstract

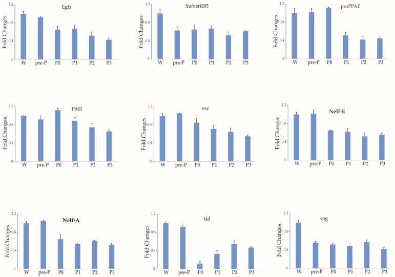
Silkworm larval-pupal metamorphosis and the first half of pupal-adult development occur during oogenesis from previtellogenesis to vitellogenesis and include two peaks of the hemolymph ecdysteroid titer. Moreover, a rise in 20-hydroxyecdysone titer in early pupae can trigger the first major transition from previtellogenesis to vitellogenesis in silkworm oogenesis. In this study, we first investigated the expression patterns of 66 maternal genes in the ovary at the wandering stage. We then examined the developmental expression profiles in six time-series samples of ovaries or ovarioles by reverse transcription-quantitative PCR. We found that the transcripts of 22 maternal genes were regulated by 20-hydroxyecdysone in the isolated abdomens of the pupae following a single injection of 20-hydroxyecdysone. This study is the first to determine the relationship between 20-hydroxyecdysone and maternal genes during silkworm oogenesis. These findings provide a basis for further research into the embryonic development of .

摘要

家蚕幼虫-蛹变态以及蛹-成虫发育的前半阶段发生在卵子发生过程中,从卵黄发生前期到卵黄发生期,包括血淋巴蜕皮甾类滴度的两个峰值。此外,早期蛹中20-羟基蜕皮酮滴度的升高可引发家蚕卵子发生过程中从卵黄发生前期到卵黄发生期的首次重大转变。在本研究中,我们首先调查了66个母体基因在徘徊期卵巢中的表达模式。然后,我们通过逆转录定量PCR检测了卵巢或卵巢小管六个时间序列样本中的发育表达谱。我们发现,在单次注射20-羟基蜕皮酮后,22个母体基因的转录本在蛹的离体腹部受到20-羟基蜕皮酮的调控。本研究首次确定了20-羟基蜕皮酮与家蚕卵子发生过程中母体基因之间的关系。这些发现为进一步研究……的胚胎发育提供了基础。

https://cdn.ncbi.nlm.nih.gov/pmc/blobs/c6ea/8622876/0da9b241d7d5/insects-12-00969-g001.jpg

文献AI研究员

20分钟写一篇综述,助力文献阅读效率提升50倍。

立即体验

用中文搜PubMed

大模型驱动的PubMed中文搜索引擎

马上搜索

文档翻译

学术文献翻译模型,支持多种主流文档格式。

立即体验