Suppr超能文献

水痘疫苗普遍接种和针对 2019 冠状病毒病大流行的行为改变对带状疱疹发病率的影响。

Effect of universal varicella vaccination and behavioral changes against coronavirus disease 2019 pandemic on the incidence of herpes zoster.

机构信息

Senri Kinran University, Osaka, Japan.

Toyama Dermatologic Clinic, Miyazaki, Japan.

出版信息

J Dermatol Sci. 2021 Dec;104(3):185-192. doi: 10.1016/j.jdermsci.2021.10.007. Epub 2021 Nov 9.

Abstract

BACKGROUND

Since 2014, universal varicella vaccination has reduced the varicella and herpes zoster (HZ) incidence in vaccine recipients and increased the incidence in the child-rearing generation until 2017.

OBJECTIVE

This study aimed to understand the future epidemiologic trends of HZ after the disappearance of varicella epidemics and during the coronavirus disease 2019 (COVID-19) pandemic.

METHODS

The Miyazaki Dermatologist Society has been monitoring and analyzing the incidence of HZ patients after universal vaccination since 1997.

RESULTS

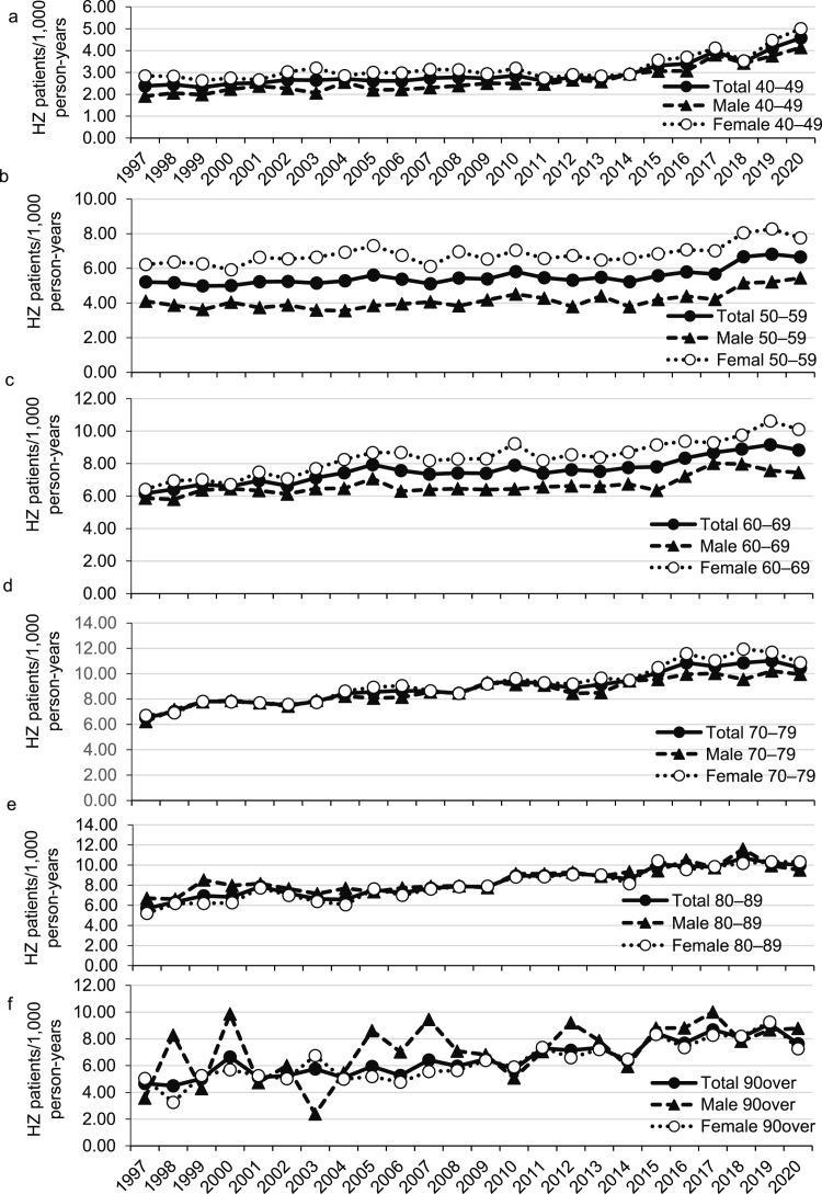
The HZ incidence in Oka varicella vaccine recipients aged 0-4 years decreased with the reduction in chickenpox incidence. The HZ incidence among those aged 5-9 years increased between 2015 and 2017 and decreased thereafter. From 2014-2020, the HZ incidence continued to increase to 36.6%, 51.3%, 70.2%, 56.7%, and 27.3% among those aged 10-19, 20-29, 30-39, 40-49, and 50-59 years, respectively. The HZ incidence in patients aged ≥ 60 years increased by 2.3% annually from 2014 to 2020, corresponding to an annual 2% increase since 1997, and was unaffected by varicella epidemics. COVID-19 infection control measures, lifestyle changes and the resulting stress did not affect the HZ incidence in 2020.

CONCLUSION

Universal varicella vaccination eliminated varicella epidemics, and HZ was reduced in vaccine recipients. The HZ incidence for those aged 10-59 years increased from 2014 to 2020, in contrast to those aged ≥ 60 years, which is attributable to booster immunity expiration due to varicella contact in this age group.

摘要

背景

自 2014 年以来,水痘疫苗的普及接种降低了疫苗接种者的水痘和带状疱疹(HZ)发病率,并在 2017 年之前增加了育儿人群的发病率。

目的

本研究旨在了解水痘疫情消除后和 2019 年冠状病毒病(COVID-19)大流行期间 HZ 的未来流行病学趋势。

方法

自 1997 年以来,宫崎皮肤科医生协会一直在监测和分析普及疫苗接种后 HZ 患者的发病率。

结果

0-4 岁 Oka 水痘疫苗接种者的 HZ 发病率随着水痘发病率的降低而降低。5-9 岁儿童的 HZ 发病率在 2015 年至 2017 年间增加,此后减少。2014-2020 年,10-19 岁、20-29 岁、30-39 岁、40-49 岁和 50-59 岁者的 HZ 发病率分别持续上升至 36.6%、51.3%、70.2%、56.7%和 27.3%。2014 年至 2020 年,≥60 岁患者的 HZ 发病率每年增加 2.3%,自 1997 年以来每年增加 2%,且不受水痘疫情影响。COVID-19 感染控制措施、生活方式的改变以及由此产生的压力并没有影响 2020 年 HZ 的发病率。

结论

水痘疫苗的普及接种消除了水痘疫情,并降低了疫苗接种者的 HZ 发病率。2014 年至 2020 年,10-59 岁人群的 HZ 发病率增加,而≥60 岁人群则相反,这归因于该年龄段由于水痘接触而导致的加强免疫效力下降。

https://cdn.ncbi.nlm.nih.gov/pmc/blobs/dec2/8610376/cd22306178d2/gr1_lrg.jpg

文献AI研究员

20分钟写一篇综述,助力文献阅读效率提升50倍。

立即体验

用中文搜PubMed

大模型驱动的PubMed中文搜索引擎

马上搜索

文档翻译

学术文献翻译模型,支持多种主流文档格式。

立即体验