Suppr超能文献

季节对低成本 NO 传感器校准性能的影响。

Seasonal Influence on the Performance of Low-Cost NO Sensor Calibrations.

机构信息

National Institute for Public Health and the Environment (RIVM), P.O. Box 1, 3720 BA Bilthoven, The Netherlands.

Wageningen Livestock Research, P.O. Box 338, 6700 AH Wageningen, The Netherlands.

出版信息

Sensors (Basel). 2021 Nov 27;21(23):7919. doi: 10.3390/s21237919.

Abstract

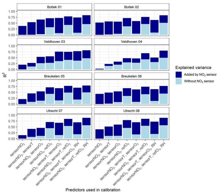
Low-cost sensor technology has been available for several years and has the potential to complement official monitoring networks. The current generation of nitrogen dioxide (NO) sensors suffers from various technical problems. This study explores the added value of calibration models based on (multiple) linear regression including cross terms on the performance of an electrochemical NO sensor, the B43F manufactured by Alphasense. Sensor data were collected in duplicate at four reference sites in the Netherlands over a period of one year. It is shown that a calibration, using O and temperature in addition to a reference NO measurement, improves the prediction in terms of R from less than 0.5 to 0.69-0.84. The uncertainty of the calibrated sensors meets the Data Quality Objective for indicative methods specified by the EU directive in some cases and it was verified that the sensor signal itself remains an important predictor in the multilinear regressions. In practice, these sensors are likely to be calibrated over a period (much) shorter than one year. This study shows the dependence of the quality of the calibrated signal on the choice of these short (monthly) calibration and validation periods. This information will be valuable for determining short-period calibration strategies.

摘要

低成本传感器技术已经存在了几年,并且有可能补充官方监测网络。当前一代的二氧化氮(NO)传感器存在各种技术问题。本研究探讨了基于(多个)线性回归的校准模型的附加值,包括交叉项对电化学 NO 传感器(由 Alphasense 制造的 B43F)性能的影响。在荷兰的四个参考地点,传感器数据在一年内重复采集了两次。结果表明,使用 O 和温度进行校准,除了参考 NO 测量外,还可以提高预测的 R 值,从不到 0.5 提高到 0.69-0.84。校准传感器的不确定性在某些情况下满足了欧盟指令规定的指示性方法的数据质量目标,并且验证了传感器信号本身仍然是多元线性回归中的重要预测因子。在实践中,这些传感器可能会在比一年短得多的时间内进行校准。本研究表明,校准信号的质量取决于选择这些短(每月)校准和验证期的情况。这些信息对于确定短期校准策略将是有价值的。

https://cdn.ncbi.nlm.nih.gov/pmc/blobs/efa9/8659619/9c92eacb76cc/sensors-21-07919-g001.jpg

文献AI研究员

20分钟写一篇综述,助力文献阅读效率提升50倍。

立即体验

用中文搜PubMed

大模型驱动的PubMed中文搜索引擎

马上搜索

文档翻译

学术文献翻译模型,支持多种主流文档格式。

立即体验