Suppr超能文献

基于雾计算的人工智能框架在电子医疗保健中的应用。

AI-Enabled Framework for Fog Computing Driven E-Healthcare Applications.

机构信息

Department of Computer Science, Kristianstad University, SE-291 88 Kristianstad, Sweden.

Shenzhen Institutes of Advanced Technology, Chinese Academy of Sciences, Shenzhen 518000, China.

出版信息

Sensors (Basel). 2021 Dec 1;21(23):8039. doi: 10.3390/s21238039.

Abstract

Artificial Intelligence (AI) is the revolutionary paradigm to empower sixth generation (6G) edge computing based e-healthcare for everyone. Thus, this research aims to promote an AI-based cost-effective and efficient healthcare application. The cyber physical system (CPS) is a key player in the internet world where humans and their personal devices such as cell phones, laptops, wearables, etc., facilitate the healthcare environment. The data extracting, examining and monitoring strategies from sensors and actuators in the entire medical landscape are facilitated by cloud-enabled technologies for absorbing and accepting the entire emerging wave of revolution. The efficient and accurate examination of voluminous data from the sensor devices poses restrictions in terms of bandwidth, delay and energy. Due to the heterogeneous nature of the Internet of Medical Things (IoMT), the driven healthcare system must be smart, interoperable, convergent, and reliable to provide pervasive and cost-effective healthcare platforms. Unfortunately, because of higher power consumption and lesser packet delivery rate, achieving interoperable, convergent, and reliable transmission is challenging in connected healthcare. In such a scenario, this paper has fourfold major contributions. The first contribution is the development of a single chip wearable electrocardiogram (ECG) with the support of an analog front end (AFE) chip model (i.e., ADS1292R) for gathering the ECG data to examine the health status of elderly or chronic patients with the IoT-based cyber physical system (CPS). The second proposes a fuzzy-based sustainable, interoperable, and reliable algorithm (FSIRA), which is an intelligent and self-adaptive decision-making approach to prioritize emergency and critical patients in association with the selected parameters for improving healthcare quality at reasonable costs. The third is the proposal of a specific cloud-based architecture for mobile and connected healthcare. The fourth is the identification of the right balance between reliability, packet loss ratio, convergence, latency, interoperability, and throughput to support an adaptive IoMT driven connected healthcare. It is examined and observed that our proposed approaches outperform the conventional techniques by providing high reliability, high convergence, interoperability, and a better foundation to analyze and interpret the accuracy in systems from a medical health aspect. As for the IoMT, an enabled healthcare cloud is the key ingredient on which to focus, as it also faces the big hurdle of less bandwidth, more delay and energy drain. Thus, we propose the mathematical trade-offs between bandwidth, interoperability, reliability, delay, and energy dissipation for IoMT-oriented smart healthcare over a 6G platform.

摘要

人工智能 (AI) 是赋能第六代 (6G) 边缘计算的基础,使全民享受到电子医疗服务。因此,本研究旨在促进基于人工智能的具有成本效益和高效率的医疗保健应用。

信息物理系统 (CPS) 是互联网世界中的关键参与者,人类及其个人设备(如手机、笔记本电脑、可穿戴设备等)在其中促进医疗保健环境。云技术使从整个医疗环境中的传感器和执行器中提取、检查和监控数据变得更加容易,从而吸收并接受整个新兴的革命浪潮。

从传感器设备中检查大量数据需要高效和准确,但这在带宽、延迟和能量方面受到限制。由于医疗物联网 (IoMT) 的异构性,驱动医疗系统必须是智能的、互操作的、收敛的和可靠的,以提供普及和具有成本效益的医疗保健平台。

不幸的是,由于更高的功耗和更低的数据包传输率,在连接的医疗保健中实现互操作性、收敛性和可靠性传输具有挑战性。在这种情况下,本文有四个主要贡献。

第一个贡献是开发了一种带有模拟前端 (AFE) 芯片模型(即 ADS1292R)的单芯片可穿戴心电图 (ECG),用于收集心电图数据,以检查老年或慢性病患者的健康状况,这是基于物联网的信息物理系统 (CPS)。

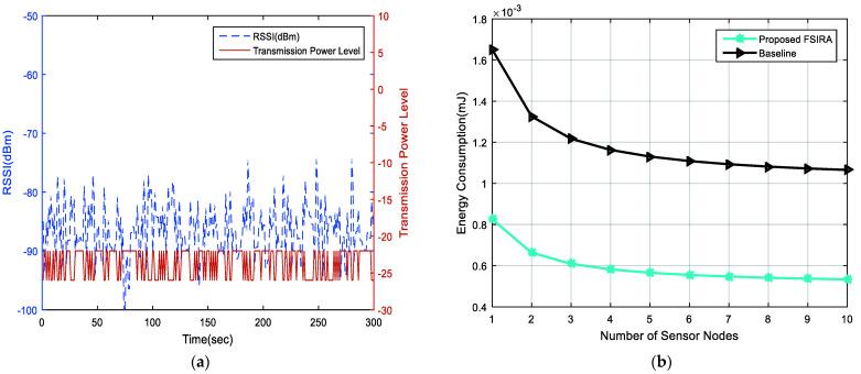
第二个贡献是提出了一种基于模糊的可持续、互操作和可靠的算法 (FSIRA),这是一种智能和自适应的决策方法,用于根据所选参数优先考虑紧急和关键患者,以提高医疗保健质量,同时控制成本。

第三个贡献是提出了一种特定的基于云的移动和连接医疗保健架构。

第四个贡献是确定在支持自适应 IoMT 驱动的连接医疗保健方面,可靠性、丢包率、收敛性、延迟、互操作性和吞吐量之间的正确平衡。

研究表明,我们提出的方法通过提供更高的可靠性、更高的收敛性、互操作性和更好的基础来分析和解释医疗系统的准确性,从而优于传统技术。

至于 IoMT,启用医疗保健云是需要关注的关键因素,因为它还面临着带宽较少、延迟和能量消耗更多的大障碍。因此,我们提出了面向 6G 平台的 IoMT 智能医疗保健的带宽、互操作性、可靠性、延迟和能耗之间的数学权衡。

https://cdn.ncbi.nlm.nih.gov/pmc/blobs/1774/8659796/c9fcb943c3dd/sensors-21-08039-g001.jpg

文献AI研究员

20分钟写一篇综述,助力文献阅读效率提升50倍。

立即体验

用中文搜PubMed

大模型驱动的PubMed中文搜索引擎

马上搜索

文档翻译

学术文献翻译模型,支持多种主流文档格式。

立即体验