Suppr超能文献

氧化石墨烯复合材料增强陶瓷的吸声性能

Enhanced Sound Absorption Properties of Ceramics with Graphene Oxide Composites.

作者信息

He Chao, Du Bin, Ma Juan, Xiong Hao, Qian Junjie, Cai Mei, Shui Anze

机构信息

School of Materials Science and Engineering, South China University of Technology, Guangzhou 510641, P. R. China.

出版信息

ACS Omega. 2021 Dec 10;6(50):34242-34249. doi: 10.1021/acsomega.1c03362. eCollection 2021 Dec 21.

Abstract

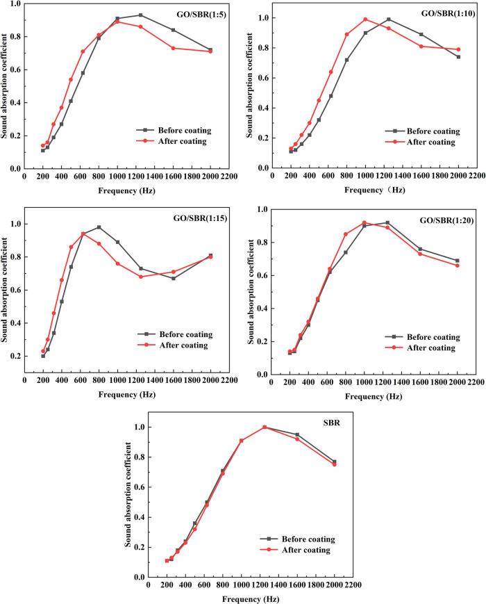
Noise pollution is acknowledged as the main environmental problem and is as harmful to human physical and mental health as water and air pollution. However, the acoustic properties of traditional sound absorption materials in low frequency ranges still need to be improved. Herein, the low-frequency sound absorption coefficient of porous ceramics was further improved by coating a graphene oxide (GO) and styrene-butadiene rubber (SBR) composite film inside the porous ceramics. The improved sound absorption coefficient of the porous composite reached 30.4% in the range of 200-800 Hz, which is attributed to the enhancement of the thermal viscous effect and the extension of the dissipation mechanism. Predictably, designing the morphology of three-dimensional interconnected porous structures on the microscale is comparatively useful for developing a porous sound absorbing material effective in middle- and low-frequency noise.

摘要

噪声污染被公认为主要的环境问题,对人类身心健康的危害与水和空气污染相当。然而,传统吸声材料在低频范围内的声学性能仍有待提高。在此,通过在多孔陶瓷内部涂覆氧化石墨烯(GO)和丁苯橡胶(SBR)复合膜,进一步提高了多孔陶瓷的低频吸声系数。多孔复合材料的吸声系数在200-800Hz范围内提高了30.4%,这归因于热粘性效应的增强和耗散机制的扩展。可以预见,在微观尺度上设计三维互连多孔结构的形态对于开发一种对中低频噪声有效的多孔吸声材料较为有用。

https://cdn.ncbi.nlm.nih.gov/pmc/blobs/ad61/8696997/052bba1c624c/ao1c03362_0002.jpg

文献AI研究员

20分钟写一篇综述,助力文献阅读效率提升50倍。

立即体验

用中文搜PubMed

大模型驱动的PubMed中文搜索引擎

马上搜索

文档翻译

学术文献翻译模型,支持多种主流文档格式。

立即体验