Suppr超能文献

可溶性 AXL 是一种新型血液标志物,可用于早期检测胰腺导管腺癌,并与慢性胰腺炎进行鉴别诊断。

Soluble AXL is a novel blood marker for early detection of pancreatic ductal adenocarcinoma and differential diagnosis from chronic pancreatitis.

机构信息

Cancer Research Program, Hospital del Mar Medical Research Institute (IMIM), Unidad Asociada IIBB-CSIC, Barcelona, Spain.

Department of Cell Death and Proliferation, Institute of Biomedical Research of Barcelona (IIBB)-CSIC and Institut d'Investigacions Biomèdiques August Pi Sunyer (IDIBAPS), Barcelona, Spain.

出版信息

EBioMedicine. 2022 Jan;75:103797. doi: 10.1016/j.ebiom.2021.103797. Epub 2021 Dec 29.

Abstract

BACKGROUND

Early diagnosis is crucial for patients with pancreatic ductal adenocarcinoma (PDAC). The AXL receptor tyrosine kinase is proteolytically processed releasing a soluble form (sAXL) into the blood stream. Here we explore the use of sAXL as a biomarker for PDAC.

METHODS

AXL was analysed by immunohistochemistry in human pancreatic tissue samples. RNA expression analysis was performed using TCGA/GTEx databases. The plasma concentrations of sAXL, its ligand GAS6, and CA19-9 were studied in two independent cohorts, the HMar cohort (n = 59) and the HClinic cohort (n = 142), including healthy controls, chronic pancreatitis (CP) or PDAC patients, and in a familial PDAC cohort (n = 68). AXL expression and sAXL release were studied in PDAC cell lines and murine models.

FINDINGS

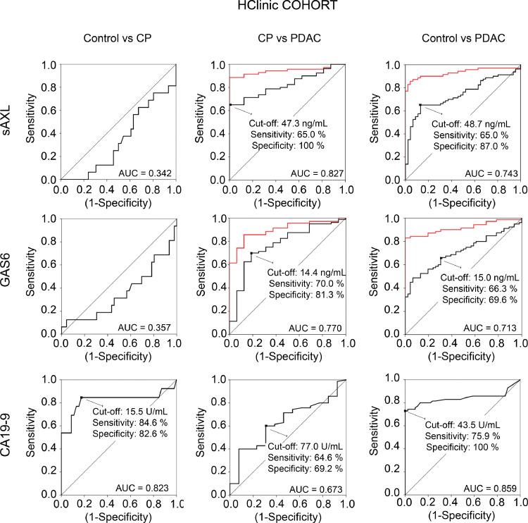
AXL is increased in PDAC and precursor lesions as compared to CP or controls. sAXL determined in plasma from two independent cohorts was significantly increased in the PDAC group as compared to healthy controls or CP patients. Patients with high levels of AXL have a lower overall survival. ROC analysis of the plasma levels of sAXL, GAS6, or CA19-9 in our cohorts revealed that sAXL outperformed CA19-9 for discriminating between CP and PDAC. Using both sAXL and CA19-9 increased the diagnostic value. These results were validated in murine models, showing increased sAXL specifically in animals developing PDAC but not those with precursor lesions or acinar tumours.

INTERPRETATION

sAXL appears as a biomarker for early detection of PDAC and PDAC-CP discrimination that could accelerate treatment and improve its dismal prognosis.

FUNDING

This work was supported by grants PI20/00625 (PN), RTI2018-095672-B-I00 (AM and PGF), PI20/01696 (MG) and PI18/01034 (AC) from MICINN-FEDER and grant 2017/SGR/225 (PN) from Generalitat de Catalunya.

摘要

背景

早期诊断对于胰腺导管腺癌(PDAC)患者至关重要。AXL 受体酪氨酸激酶经蛋白水解处理后会释放可溶性形式(sAXL)到血液中。本研究旨在探索 sAXL 是否可作为 PDAC 的生物标志物。

方法

通过免疫组织化学分析人类胰腺组织样本中的 AXL。使用 TCGA/GTEx 数据库进行 RNA 表达分析。在两个独立的队列(HMar 队列[n=59]和 HClinic 队列[n=142])中,研究了 sAXL、其配体 GAS6 和 CA19-9 的血浆浓度,包括健康对照、慢性胰腺炎(CP)或 PDAC 患者,以及家族性 PDAC 队列[n=68]。在 PDAC 细胞系和鼠模型中研究了 AXL 表达和 sAXL 释放。

结果

与 CP 或对照相比,AXL 在 PDAC 和前体病变中增加。在两个独立队列的 PDAC 组中,sAXL 明显高于健康对照组或 CP 患者。高水平 AXL 的患者总生存率较低。ROC 分析我们队列中 sAXL、GAS6 或 CA19-9 的血浆水平表明,sAXL 在区分 CP 和 PDAC 方面优于 CA19-9。同时使用 sAXL 和 CA19-9 提高了诊断价值。这些结果在鼠模型中得到了验证,结果表明,只有在发生 PDAC 的动物中,sAXL 才会增加,而在有前体病变或腺泡肿瘤的动物中则不会增加。

结论

sAXL 似乎是 PDAC 早期检测和 PDAC-CP 鉴别诊断的生物标志物,可加速治疗并改善其预后不良。

资助

本工作得到了 MICINN-FEDER 项目 PI20/00625(PN)、RTI2018-095672-B-I00(AM 和 PGF)、PI20/01696(MG)和 PI18/01034(AC)以及 Generalitat de Catalunya 项目 2017/SGR/225(PN)的支持。

https://cdn.ncbi.nlm.nih.gov/pmc/blobs/a89c/8724936/821a4d100c04/gr1.jpg

文献AI研究员

20分钟写一篇综述,助力文献阅读效率提升50倍。

立即体验

用中文搜PubMed

大模型驱动的PubMed中文搜索引擎

马上搜索

文档翻译

学术文献翻译模型,支持多种主流文档格式。

立即体验