Suppr超能文献

大量未受伤大学生运动员样本中同时测量和当日平衡测量方法的比较

Comparison of Concurrent and Same-Day Balance Measurement Approaches in a Large Sample of Uninjured Collegiate Athletes.

作者信息

Saalfield Jessica, Piersol Kelsey L, Monaco Robert, Womack Jason, Weismiller Scott A, Esopenko Carrie, Todaro Sabrina M, Conway Fiona N, Brostrand Kyle, Buckman Jennifer F

机构信息

Department of Kinesiology and Health, Rutgers University, New Brunswick, NJ, USA.

Atlantic Sports Health, Morristown, NJ, USA.

出版信息

Int J Sports Phys Ther. 2022 Feb 1;17(2):228-236. doi: 10.26603/001c.31178. eCollection 2022.

Abstract

BACKGROUND

Measures of postural stability are useful in assisting the diagnosing and managing of athlete concussion. Error counting using the Balance Error Scoring System (BESS) is the clinical standard, but has notable limitations. New technologies offer the potential to increase precision and optimize testing protocols; however, whether these devices enhance clinical assessment remains unclear.

PURPOSE

To examine the relationships between metrics of balance performance using different measurement systems in uninjured, healthy collegiate athletes.

STUDY DESIGN

Cross-sectional.

METHODS

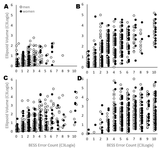
Five hundred and thirty uninjured collegiate athletes were tested using the C3Logix app, which computes ellipsoid volume as a measure of postural stability during the six standard BESS conditions, while concurrently, errors were manually counted during each condition per standard BESS protocols. The association between concurrently measured ellipsoid volumes and error counts were examined with Spearman's correlations. From this sample, 177 participants also performed two double-leg conditions on the Biodex BioSway force plate system on the same day. This system computes Sway Index as a measure of postural stability. The association of ellipsoid volume (C3Logix) and Sway Index (Biodex) was examined with Spearman's correlations. Individual-level data were plotted to visually depict the relationships.

RESULTS

C3Logix ellipsoid volume and concurrently recorded error counts were significantly correlated in five of the six BESS conditions (rs:.22-.62; p< 0.0001). C3Logix ellipsoid volume and Biodex Sway Index were significantly correlated in both conditions (rs=.22-.27, p< 0.004). However, substantial variability was shown in postural stability across all three measurement approaches.

CONCLUSION

Modest correlation coefficients between simultaneous and same-day balance assessments in uninjured collegiate athletes suggest a need to further optimize clinical protocols for concussion diagnosis.

LEVEL OF EVIDENCE

2b.

摘要

背景

姿势稳定性测量有助于运动员脑震荡的诊断和管理。使用平衡误差评分系统(BESS)进行误差计数是临床标准,但存在显著局限性。新技术有可能提高精度并优化测试方案;然而,这些设备是否能增强临床评估仍不明确。

目的

研究未受伤的健康大学生运动员使用不同测量系统时平衡性能指标之间的关系。

研究设计

横断面研究。

方法

使用C3Logix应用程序对530名未受伤的大学生运动员进行测试,该应用程序计算椭球体体积,作为六个标准BESS条件下姿势稳定性的指标,同时,按照标准BESS方案在每个条件下手动计数误差。使用Spearman相关性分析同时测量的椭球体体积与误差计数之间的关联。从该样本中,177名参与者在同一天还在Biodex BioSway测力板系统上进行了两个双腿条件测试。该系统计算摆动指数作为姿势稳定性的指标。使用Spearman相关性分析椭球体体积(C3Logix)与摆动指数(Biodex)之间的关联。绘制个体水平数据以直观描述这些关系。

结果

在六个BESS条件中的五个条件下,C3Logix椭球体体积与同时记录的误差计数显著相关(rs:.22-.62;p<0.0001)。在两个条件下,C3Logix椭球体体积与Biodex摆动指数均显著相关(rs=.22-.27,p<0.004)。然而,在所有三种测量方法中,姿势稳定性都表现出很大的变异性。

结论

未受伤的大学生运动员同时和同一天平衡评估之间的适度相关系数表明,需要进一步优化脑震荡诊断的临床方案。

证据水平

2b。

https://cdn.ncbi.nlm.nih.gov/pmc/blobs/1327/8805106/afb79475d602/ijspt_2022_17_2_31178_78481.jpg

文献AI研究员

20分钟写一篇综述,助力文献阅读效率提升50倍。

立即体验

用中文搜PubMed

大模型驱动的PubMed中文搜索引擎

马上搜索

文档翻译

学术文献翻译模型,支持多种主流文档格式。

立即体验