Suppr超能文献

用于光引发聚合和偶联反应的表面固定光引发剂

Surface-Immobilized Photoinitiators for Light Induced Polymerization and Coupling Reactions.

作者信息

Mueller Matthias, Bandl Christine, Kern Wolfgang

机构信息

Montanuniversitaet Leoben, Institute of Chemistry of Polymeric Materials, Otto-Glöckel-Straße 2, A-8700 Leoben, Austria.

Polymer Competence Center Leoben GmbH, Rosegger-Strasse 12, A-8700 Leoben, Austria.

出版信息

Polymers (Basel). 2022 Feb 4;14(3):608. doi: 10.3390/polym14030608.

Abstract

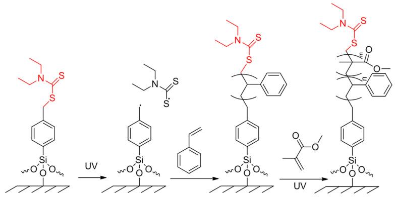
Straightforward and versatile surface modification, functionalization and coating have become a significant topic in material sciences. While physical modification suffers from severe drawbacks, such as insufficient stability, chemical induced grafting processes efficiently modify organic and inorganic materials and surfaces due to covalent linkage. These processes include the "grafting from" method, where polymer chains are directly grown from the surface in terms of a surface-initiated polymerization and the "grafting to" method where a preformed (macro)-molecule is introduced to a preliminary treated surface via a coupling reaction. Both methods require an initiating species that is immobilized at the surface and can be triggered either by heat or light, whereas light induced processes have recently received increasing interest. Therefore, a major challenge is the ongoing search for suitable anchor moieties that provide covalent linkage to the surface and include initiators for surface-initiated polymerization and coupling reactions, respectively. This review containing 205 references provides an overview on photoinitiators which are covalently coupled to different surfaces, and are utilized for subsequent photopolymerizations and photocoupling reactions. An emphasis is placed on the coupling strategies for different surfaces, including oxides, metals, and cellulosic materials, with a focus on surface coupled free radical photoinitiators (type I and type II). Furthermore, the concept of surface initiation mediated by photoiniferters (PIMP) is reviewed. Regarding controlled radical polymerization from surfaces, a large section of the paper reviews surface-tethered co-initiators, ATRP initiators, and RAFT agents. In combination with photoinitiators or photoredox catalysts, these compounds are employed for surface initiated photopolymerizations. Moreover, examples for coupled photoacids and photoacid generators are presented. Another large section of the article reviews photocoupling and photoclick techniques. Here, the focus is set on light sensitive groups, such as organic azides, tetrazoles and diazirines, which have proven useful in biochemistry, composite technology and many other fields.

摘要

简单通用的表面改性、功能化及涂层已成为材料科学中的一个重要课题。物理改性存在严重缺陷,如稳定性不足,而化学诱导接枝过程由于共价键合能有效改性有机和无机材料及表面。这些过程包括“从表面生长”法,即通过表面引发聚合直接在表面生长聚合物链,以及“接枝到表面”法,即通过偶联反应将预先形成的(宏观)分子引入预先处理过的表面。这两种方法都需要一种固定在表面的引发物种,可通过热或光引发,而光诱导过程最近受到越来越多的关注。因此,一个主要挑战是持续寻找合适的锚定基团,它们能与表面形成共价键,分别包括用于表面引发聚合和偶联反应的引发剂。这篇包含205篇参考文献的综述概述了与不同表面共价偶联并用于后续光聚合和光偶联反应的光引发剂。重点介绍了不同表面的偶联策略,包括氧化物、金属和纤维素材料,重点是表面偶联的自由基光引发剂(I型和II型)。此外,还综述了光引发转移终止剂介导的表面引发概念(PIMP)。关于从表面进行的可控自由基聚合,本文的很大一部分内容综述了表面 tethered 共引发剂、原子转移自由基聚合(ATRP)引发剂和可逆加成-断裂链转移(RAFT)试剂。与光引发剂或光氧化还原催化剂结合,这些化合物用于表面引发的光聚合。此外,还给出了偶联光酸和光酸发生器的例子。文章的另一大部分内容综述了光偶联和光点击技术。这里,重点是对光敏感的基团,如有机叠氮化物、四唑和二氮杂环丙烯,它们在生物化学、复合材料技术和许多其他领域已被证明是有用的。

https://cdn.ncbi.nlm.nih.gov/pmc/blobs/1696/8839765/23dfaa861ece/polymers-14-00608-g001.jpg

文献AI研究员

20分钟写一篇综述,助力文献阅读效率提升50倍。

立即体验

用中文搜PubMed

大模型驱动的PubMed中文搜索引擎

马上搜索

文档翻译

学术文献翻译模型,支持多种主流文档格式。

立即体验