Suppr超能文献

评价四种基于 4-噻唑烷酮的衍生物的抗癌和抗菌活性。

Evaluation of Anticancer and Antibacterial Activity of Four 4-Thiazolidinone-Based Derivatives.

机构信息

Department of Biotechnology and Cell Biology, Medical College, University of Information Technology and Management in Rzeszow, Sucharskiego 2, 35-225 Rzeszow, Poland.

Department of Biotechnology, Institute of Biology and Biotechnology, College of Natural Sciences, University of Rzeszow, Pigonia 1, 35-310 Rzeszow, Poland.

出版信息

Molecules. 2022 Jan 28;27(3):894. doi: 10.3390/molecules27030894.

Abstract

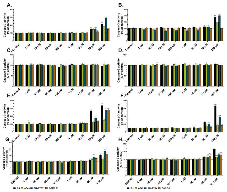
Heterocycles are commonly known for their unique features, e.g., antibacterial or anticancer properties. Although many synthetic heterocycles, such as 4-thiazolidinone (4-TZD), have been synthesized, their potential applications have not yet been fully investigated. However, many researchers have reported relevant results that can be a basis for the search for new potential drugs. Therefore, the aim of this study was to evaluate the cytotoxic, cytostatic, and antibacterial effects of certain 4-thiazolidinone-based derivatives, Les-3166, Les-5935, Les-6009, and Les-6166, on human fibroblasts (BJ), neuroblastoma (SH-SY5Y), epithelial lung carcinoma (A549), and colorectal adenocarcinoma (CACO-2) cell lines in vitro. All tested compounds applied in a concentration range from 10 to 100 µM were able to decrease metabolic activity in the BJ, A549, and SH-SY5Y cell lines. However, the action of Les-3166 was mainly based on the ROS-independent pathway, similarly to Les-6009. In turn, Les-5935 and Les-6166 were able to promote ROS production in BJ, A549, and SH-SY5Y cells, compared to the control. Les-3166, Les-6009, and Les-6166 significantly increased the caspase-3 activity, especially at the concentrations of 50 µM and 100 µM. However, Les-5935 did not induce apoptosis. Only Les-5935 showed a minor cytostatic effect on SH-SY5Y cells. Additionally, the antibacterial properties of the tested compounds against bacterial biofilm can be ranked as follows: Les-3166 > Les-5935 > Les-6009. Les-6166 did not show any anti-biofilm activity. In summary, the study showed that Les-5935, Les-6009, and Les-6166 were characterized by anticancer properties, especially in the human lung cancer cell. In cases of BJ, SH-SY5Y, and CACO-2 cells the anticancer usage of such compounds is limited due to effect visible only at 50 and 100 µM.

摘要

杂环化合物以其独特的特性而闻名,例如抗菌或抗癌特性。尽管已经合成了许多合成杂环化合物,如 4-噻唑烷酮(4-TZD),但其潜在应用尚未得到充分研究。然而,许多研究人员已经报告了相关结果,可以作为寻找新的潜在药物的基础。因此,本研究旨在评估某些基于 4-噻唑烷酮的衍生物 Les-3166、Les-5935、Les-6009 和 Les-6166 的细胞毒性、细胞抑制和抗菌作用对人成纤维细胞(BJ)、神经母细胞瘤(SH-SY5Y)、上皮肺癌(A549)和结直肠腺癌(CACO-2)细胞系的体外影响。所有测试的化合物在 10 到 100 μM 的浓度范围内均能够降低 BJ、A549 和 SH-SY5Y 细胞系的代谢活性。然而,Les-3166 的作用主要基于 ROS 非依赖性途径,类似于 Les-6009。相反,Les-5935 和 Les-6166 能够在 BJ、A549 和 SH-SY5Y 细胞中促进 ROS 的产生,与对照相比。Les-3166、Les-6009 和 Les-6166 显著增加了 caspase-3 的活性,尤其是在 50 μM 和 100 μM 的浓度下。然而,Les-5935 并未诱导细胞凋亡。只有 Les-5935 对 SH-SY5Y 细胞表现出轻微的细胞抑制作用。此外,测试化合物对细菌生物膜的抗菌特性可以按以下顺序排列:Les-3166 > Les-5935 > Les-6009。Les-6166 没有显示出任何抗生物膜活性。总之,该研究表明,Les-5935、Les-6009 和 Les-6166 具有抗癌特性,尤其是在人类肺癌细胞中。对于 BJ、SH-SY5Y 和 CACO-2 细胞,由于仅在 50 和 100 μM 时才可见到作用,因此这些化合物的抗癌用途受到限制。

https://cdn.ncbi.nlm.nih.gov/pmc/blobs/42b5/8839971/776057aae5a4/molecules-27-00894-g001.jpg

文献AI研究员

20分钟写一篇综述,助力文献阅读效率提升50倍。

立即体验

用中文搜PubMed

大模型驱动的PubMed中文搜索引擎

马上搜索

文档翻译

学术文献翻译模型,支持多种主流文档格式。

立即体验