Suppr超能文献

Aptima 检测方法与 cobas 6800 检测方法在临床样本中检测 HIV-1、HBV 和 HCV 的性能评估比较。

Performance Evaluation of the Aptima Assays in Comparison with the cobas 6800 Assays for the Detection of HIV-1, HBV, and HCV in Clinical Samples.

机构信息

Department of Laboratory Medicine, Severance Hospital, Yonsei University College of Medicine, Seoul, Korea.

Department of Laboratory Medicine, Hallym University Sacred Heart Hospital, Anyang, Korea.

出版信息

Ann Lab Med. 2022 Jul 1;42(4):447-456. doi: 10.3343/alm.2022.42.4.447.

Abstract

BACKGROUND

Accurate and consistent viral load (VL) quantitation of HIV type 1 (HIV-1), hepatitis B virus (HBV), and hepatitis C virus (HCV) is important for diagnosis and clinical monitoring. Assay results have to be concordant and compatible across laboratories. We evaluated the performance of three Aptima assays (Hologic, San Diego, CA, USA) and compared their VL values with corresponding cobas 6800 assay (Roche Diagnostics, Mannheim, Germany) results, using 840 clinical samples.

METHODS

The correlation between VL results obtained using the two assays was evaluated in terms of analytical sensitivity, precision/reproducibility, linearity, and cross-reactivity. Agreement rates were determined using kappa statistics. The overall agreement of VL values was examined using Passing-Bablok regression analysis.

RESULTS

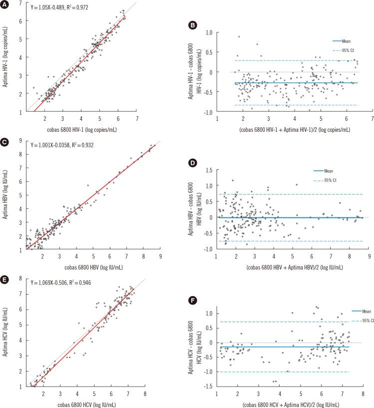
All CVs were within 5%; the assays had good precision for detecting all three viruses. The linearity of quantitation assessed using three AccuSpan linearity panels (Seracare, Milford, MA, USA), was excellent for the Aptima assays. For HIV-1 and HCV, the results of both assays showed excellent agreement (κ=0.89 and 0.90, respectively) while for HBV, the results showed good agreement (κ=0.69). For analytical sensitivity, the VLs required for a 100% detection rate of HIV-1, HBV, and HCV were 20 copies/mL, 7.5 IU/mL, and 5.0 IU/mL, respectively. The results for HIV-1, HBV, and HCV obtained using both assays correlated strongly (R=0.97, 0.93, and 0.95, respectively).

CONCLUSIONS

The cobas 6800 and Aptima assays, with fully automated and high-throughput molecular platforms for HIV-1, HBV, and HCV VL measurements, show good analytical performance and a strong correlation between results. The study results suggest that the assays can be used interchangeably for long-term monitoring of chronic infections.

摘要

背景

准确和一致的 HIV-1(HIV-1)、乙型肝炎病毒(HBV)和丙型肝炎病毒(HCV)病毒载量(VL)定量对于诊断和临床监测非常重要。实验室之间的检测结果必须一致且兼容。我们评估了三种 Aptima 检测方法(美国圣地亚哥的 Hologic)的性能,并将其 VL 值与相应的 cobas 6800 检测方法(罗氏诊断,德国曼海姆)的结果进行比较,使用了 840 个临床样本。

方法

使用两种检测方法评估 VL 结果的相关性,包括分析灵敏度、精密度/可重复性、线性和交叉反应性。使用 Kappa 统计确定符合率。使用 Passing-Bablok 回归分析检查 VL 值的总体一致性。

结果

所有 CV 均在 5%以内;这些检测方法对所有三种病毒均具有良好的检测精度。使用三个 AccuSpan 线性度面板(美国米尔福德的 Seracare)评估定量线性度,对于 Aptima 检测方法,线性度非常出色。对于 HIV-1 和 HCV,两种检测方法的结果均显示出极好的一致性(κ值分别为 0.89 和 0.90),而对于 HBV,结果显示出良好的一致性(κ值为 0.69)。对于分析灵敏度,HIV-1、HBV 和 HCV 的 100%检测率所需的 VL 值分别为 20 拷贝/mL、7.5 IU/mL 和 5.0 IU/mL。使用两种检测方法检测 HIV-1、HBV 和 HCV 的结果相关性很强(R 值分别为 0.97、0.93 和 0.95)。

结论

cobas 6800 和 Aptima 检测方法,具有用于 HIV-1、HBV 和 HCV VL 测量的全自动和高通量分子平台,具有良好的分析性能和结果之间的强相关性。研究结果表明,这些检测方法可互换用于慢性感染的长期监测。

https://cdn.ncbi.nlm.nih.gov/pmc/blobs/79ac/8859551/696248ac31d9/alm-42-4-447-f1.jpg

文献AI研究员

20分钟写一篇综述,助力文献阅读效率提升50倍。

立即体验

用中文搜PubMed

大模型驱动的PubMed中文搜索引擎

马上搜索

文档翻译

学术文献翻译模型,支持多种主流文档格式。

立即体验