Suppr超能文献

阻塞性睡眠呼吸暂停低通气综合征患者眼表及睑板腺的评估

Evaluation of the Ocular Surface and Meibomian Gland in Obstructive Sleep Apnea Hypopnea Syndrome.

作者信息

Liu Shaohua, Li Shisheng, Li Mengmeng, Zeng Shiying, Chen Baihua, Zhang Liwei

机构信息

Department of Ophthalmology, The Second Xiangya Hospital of Central South University, Changsha, China.

Hunan Clinical Research Centre of Ophthalmic Disease, Changsha, China.

出版信息

Front Med (Lausanne). 2022 Feb 9;9:832954. doi: 10.3389/fmed.2022.832954. eCollection 2022.

Abstract

PURPOSE

To assess the ocular surface and meibomian gland (MG) of patients with obstructive sleep apnea hypopnea syndrome (OSAHS) and to explore the effects of surgery for OSAHS on the ocular surface and MG.

METHODS

Based on the apnea hypopnea index (AHI), 21 patients with mild OSAHS (Group A, 5/h ≤ AHI < 15/h), 20 patients with moderate OSAHS (Group B, 15/h ≤ AHI < 30/h), 62 patients with severe OSAHS (Group C, AHI ≥ 30/h) were examined. The ocular surface and MG were evaluated using Keratograph 5M. In addition, detailed Ophthalmic examination including visual acuity, refraction, slit-lamp examination of the anterior segment, corneal fluorescein staining (CFS), ocular surface disease index (OSDI) scoring, Schirmer I test (SIT) and serum lipid measurement was performed. For OSAHS patients with dry eye syndrome (DES) who underwent uvulopalatopharyngoplasty for improving AHI, the conditions of the ocular surface and MG were compared before surgery and 3 months after surgery. Only the data of the right eyes were analyzed.

RESULTS

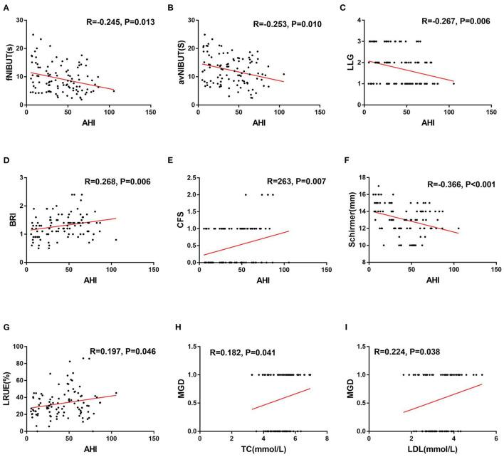
There were no significantly different in the OSDI score, tear meniscus height (TMH), or loss ratio of the lower eyelid (LRLE) among these groups. The first non-invasive tear film breakup time (fNIBUT), average non-invasive tear film breakup time (avNIBUT), bulbar redness index (BRI), lipid layer grading (LLG), CFS, plugged orifices and distortion in MG, the loss ratio of upper eyelid (LRUE), and the incidence of DES, floppy eyelid syndrome (FES) and meibomian gland dysfunction (MGD) showed significant differences between Groups A and C ( = 0.015, = 0.018, < 0.001, = 0.022, = 0.036, = 0.007, = 0.019, = 0.017, = 0.045, = 0.013, and = 0.029, respectively). The SIT in the Group A was significantly higher than in Group B ( = 0.025) and in Group C ( < 0.001). In the correlation analyses, the fNIBUT, avNIBUT, SIT and LLG had negative correlations with the AHI ( = 0.013, = 0.010, = 0.003, < 0.001, and = 0.006, respectively). The BRI, CFS and LRUE were positively correlated with the AHI ( = 0.006, = 0.007, and = 0.046, respectively). Three months after surgery, there were no significant differences in the ocular surface or MG.

CONCLUSION

Patients with severe OSAHS have poor stability of tear film and are prone to lipid-deficient dry eye as a result of the loss of meibomian gland. By improving the AHI, the ocular surface damage of OSAHS patients cannot be reversed in a short time.

摘要

目的

评估阻塞性睡眠呼吸暂停低通气综合征(OSAHS)患者的眼表及睑板腺(MG)情况,并探讨OSAHS手术对眼表及MG的影响。

方法

根据呼吸暂停低通气指数(AHI),对21例轻度OSAHS患者(A组,5/h≤AHI<15/h)、20例中度OSAHS患者(B组,15/h≤AHI<30/h)、62例重度OSAHS患者(C组,AHI≥30/h)进行检查。使用角膜地形图仪5M评估眼表及MG。此外,还进行了详细的眼科检查,包括视力、验光、眼前节裂隙灯检查、角膜荧光素染色(CFS)、眼表疾病指数(OSDI)评分、泪液分泌试验(SIT)及血脂测定。对于因改善AHI而接受悬雍垂腭咽成形术的OSAHS干眼综合征(DES)患者,比较手术前及术后3个月的眼表及MG情况。仅分析右眼数据。

结果

这些组之间的OSDI评分、泪河高度(TMH)或下睑缺失率(LRLE)无显著差异。首次无创泪膜破裂时间(fNIBUT)、平均无创泪膜破裂时间(avNIBUT)、球结膜充血指数(BRI)、脂质层分级(LLG)、CFS、MG堵塞或变形、上睑缺失率(LRUE)以及DES、睑皮松弛综合征(FES)和睑板腺功能障碍(MGD)的发生率在A组和C组之间存在显著差异(分别为P = 0.015、P = 0.018、P<0.001、P = 0.022、P = 0.036、P = 0.007、P = 0.019、P = 0.017、P = 0.045、P = 0.013和P = 0.029)。A组的SIT显著高于B组(P = 0.025)和C组(P<0.001)。在相关性分析中,fNIBUT、avNIBUT、SIT和LLG与AHI呈负相关(分别为P = 0.013、P = 0.010、P = 0.003、P<0.001和P = 0.006)。BRI、CFS和LRUE与AHI呈正相关(分别为P = 0.006、P = 0.007和P = 0.046)。手术后3个月,眼表或MG无显著差异。

结论

重度OSAHS患者泪膜稳定性差,由于睑板腺缺失易患脂质缺乏性干眼。通过改善AHI,OSAHS患者的眼表损伤在短时间内无法逆转。

https://cdn.ncbi.nlm.nih.gov/pmc/blobs/99eb/8863666/aeb45e298163/fmed-09-832954-g0001.jpg

文献AI研究员

20分钟写一篇综述,助力文献阅读效率提升50倍。

立即体验

用中文搜PubMed

大模型驱动的PubMed中文搜索引擎

马上搜索

文档翻译

学术文献翻译模型,支持多种主流文档格式。

立即体验