Suppr超能文献

基于喹啉的缩硫代氨基脲作为氟离子和氰离子的比色化学传感器及 DFT 研究。

Quinoline based thiosemicarbazones as colorimetric chemosensors for fluoride and cyanide ions and DFT studies.

机构信息

Institute of Chemical Sciences, Bahauddin Zakariya University, Multan, 60800, Pakistan.

Department of Chemistry, Khwaja Fareed University of Engineering & Information Technology, Rahim Yar Khan, 64200, Pakistan.

出版信息

Sci Rep. 2022 Mar 23;12(1):4927. doi: 10.1038/s41598-022-08860-3.

Abstract

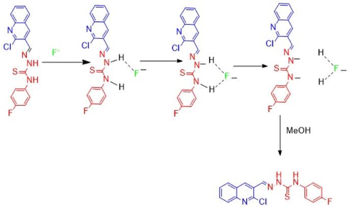
High toxicity and extensive accessibility of fluoride and cyanide ions in diverse environmental media encouraged attention for scheming well-organized probes for their detection. Keeping in mind we have designed and synthesized thiosemicarbazone-based chemosensors RB-1, RB-2 and RB-3 for the detection of fluoride and cyanide ions. The structural elucidation of the synthesized chemosensors is done by employing different analytical techniques including nuclear magnetic resonance and electronic absorption specrtoscopies. Admirable detection limit, binding constant and fast response time (2 s) to F and CN ions enlarged the applications of these chemosensors. Additional confirmation of the sensing ability of these chemosensors is derived from DFT and TDDFT calculations with M06/6-311G(d,p) method by performing FMO, UV-Vis, QTAIM and global reactivity parameters elucidation. Overall results point out that investigated chemosensors are suitable candidates for sensing the F ions. These chemosensors were successfully applied to detect F ions in a commercial toothpaste sample.

摘要

氟离子和氰离子在各种环境介质中具有高毒性和广泛的可及性,这促使人们关注设计和合成用于检测它们的组织良好的探针。考虑到这一点,我们设计并合成了基于缩氨基硫脲的化学传感器 RB-1、RB-2 和 RB-3,用于检测氟离子和氰离子。通过使用包括核磁共振和电子吸收光谱在内的不同分析技术,对合成的化学传感器的结构进行了阐明。对 F 和 CN 离子具有令人钦佩的检测限、结合常数和快速响应时间(2 s),扩大了这些化学传感器的应用范围。通过使用 M06/6-311G(d,p)方法进行 FMO、UV-Vis、QTAIM 和全局反应性参数阐明,从 DFT 和 TDDFT 计算中得出了这些化学传感器传感能力的额外确认。总体结果表明,所研究的化学传感器是用于检测 F 离子的合适候选物。这些化学传感器已成功应用于检测商业牙膏样品中的 F 离子。

https://cdn.ncbi.nlm.nih.gov/pmc/blobs/86bb/8943172/a325d44da1f6/41598_2022_8860_Sch1_HTML.jpg

文献AI研究员

20分钟写一篇综述,助力文献阅读效率提升50倍。

立即体验

用中文搜PubMed

大模型驱动的PubMed中文搜索引擎

马上搜索

文档翻译

学术文献翻译模型,支持多种主流文档格式。

立即体验